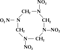
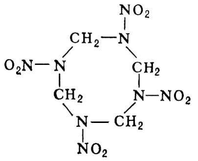
Октоген
Октоген, циклотетраметилентетранитрамин,

мощное взрывчатое вещество; бесцветные нерастворимые в воде кристаллы; плотность 1,96 г/см3 при 20 °С, tпл 278,5—280 °С, температура вспышки около 290 °С. Октоген получают при обработке гексаметилентетрамина смесью азотной кислоты и уксусного ангидрида в присутствии уксусной кислоты и нитрата аммония. По взрывчатым характеристикам (скорость детонации 9,1 км/сек при плотности 1,84 г/см3, теплота взрыва 5,7 Мдж/кг, или 1356 ккал/кг) октоген превосходит гексоген. Октоген представляет интерес как термостойкое взрывчатое вещество (применяют при температурах до 210 °С) для перфорации высокотемпературных нефтяных и газовых скважин.
Лит.: Орлова Е. Ю., Химия и технология бризантных взрывчатых веществ, 2 изд., Л., 1973.

Рис. к ст. Октоген.