Псевдокумол
ПСЕВДОКУМОЛ (1,2,4-триметилбензол), мол. м. 120,18; бесцв. жидкость; т. пл. -43,9 °С, т. кип. 169,3 °С, 68,0 °С/122 мм рт. ст.;
0,87852;
1,50484; g 29,71 мН/м (20°С); Ср 214,9 Дж/(моль·К); DHобр -61,86 кДж/моль, DHсгор -14,78 кДж/моль, DHпл 12,35 кДж/молъ, DHисп 39,2 кДж/моль;
0,396 кДжДмоль·К); e 2,383 (20°С).
Раств. в орг. р-рителях, не раств. в воде.

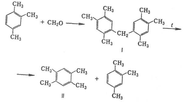
Псевдокумол обладает хим. св-вами ароматических соединений. При 510-530 °С и давлении 1,5-2,1 МПа в присут. Н2 (кат.-0,05% Pt на А12О3) изомеризуется в мезитилен; под действием О2 (195-275 °С, 2,75-3,92 МПа) в присут. кобальт-марганецбромидного катализатора окисляется до СН3СООН; под действием 7%-ной HNO3 (170-190 °С, 2 МПа) или воздуха в среде СН3СООН (170-250°С, 1,5-3,0 МПа, кат.-соли Со, Мп)-до тримеллитовой к-ты (см. Бензолполикарбо-новые кислоты). Конденсируется с СН2О с образованием продукта ф-лы I, термич. разложение к-рого приводит к дуролу (II).

Газофазная р-ция псевдокумола с СН3С1 при 300-450 °С в присут. алюмосиликатного катализатора также приводит к дуролу.
При нитровании смесью HNO3 и H2SO4 при 20 °С псевдокумол превращается в 5-нитро-1,2,4-триметилбензол, восстановление к-рого Zn в НС1 приводит к 2,4,5-триметиланилину (псевдокумидину), применяемому в произ-ве азокрасителей.
В пром-сти псевдокумол выделяют ректификацией продуктов ката-литич. риформинга нефтяных фракций, продуктов коксования каменных углей, а также смолы процессов переработки сланцев. Чистота товарного продукта 97,5-98,8%.
Применяют псевдокумол в произ-ве тримеллитовой к-ты и ее ангидрида, псевдокумидина, витамина Е. ПДК для псевдокумола в воздухе производств. помещений 50-60 мг/м3; т. всп. 46°С, т. воспл. 563 °С; КПВ 0,35-11,6%.
Лит.: Соколов В. 3., Харлампович Г. Д., Производство и использование ароматических углеводородов, М., 1980; Kirk-Othraer encyclopedia, 3 ed, v. 18, N.Y., 1982, p. 874-87. Н. Н. Артамонова.