Соответственных состояний закон
СООТВЕТСТВЕННЫХ СОСТОЯНИЙ ЗАКОН, эмпирич. закономерность, связывающая между собой параметры состояния в-ва-т-ру Т, давление p и уд. объем V, отнесенные к их значениям в критич. состоянии Ткр, ркр, Vкр. Величины т = Т/Tкр, p = р/ркр и f = V/Vкp называют приведенной т-рой, приведенным давлением и приведенным объемом соотв. (приведенные параметры, или приведенные переменные). Соответственных состояний закон утверждает, что если для группы в-в совпадают две из трех приведенных переменных, то совпадает и третья переменная. Два в-ва считаются находящимися в соответственных состояниях, если для них т, p и f одинаковы.
Через приведенные параметры м. б. записаны термич. ур-ния состояния. Так, ур-ние Ван-дер-Ваальса:

(а и b-эмпирич. параметры, R-газовая постоянная) с помощью ур-ний (9р/9V)Ткр=0, (92р/9V2)Ткр = 0, характеризующих критич. точку (см. Критическое состояние), можно привести к виду:

Приведенное ур-ние (2) не содержит параметров а и b, изменяющихся от в-ва к в-ву. Оно справедливо для всех 'в-в, подчиняющихся ур-нию состояния (1), и является для них математич. выражением соответственных состояний закона.
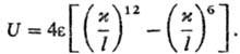
В-ва, подчиняющиеся одному и тому же приведенному ур-нию состояния, наз. термодинамически подобными. Подобие в-в обеспечивается подобием сил межмолекулярного взаимодействия. Если для группы подобных в-в неприведенное ур-ние состояния содержит два эмпирич. параметра, то модельный потенциал имеет вид:

где l-расстояние между частицами, e-глубина потенц. ямы на кривой взаимод., x-характерное расстояние, при к-ром U = 0. Напр., потенциал Леннард-Джонса в приведенной форме:

Предложена обобщающая мат. формулировка соответственных состояний закона в виде ур-ния, включающего нек-рый безразмерный параметр А как критерий термодинамич. подобия в-в:
F(p,f,т;A) = 0.
Часто в качестве такого параметра используют величину, обратную фактору сжимаемости Z = RTкp/pкpVкр (см. Сжимаемость). Для подобных в-в, подчиняющихся ур-нию состояния (2), А = Z = 8/3.
Расширенный соответственных состояний закон указывает на наличие для группы в-в устойчивой связи между приведенными параметрами p, f, т и нек-рыми термодинамич. св-вами ("при одинаковых p, f, т-одинаковое свойство"). Примерами являются утверждения типа: "разность молярных энтальпий между двумя соответственными состояниями для подобных веществ одинаковы", "для подобных веществ молярные энтропии испарения в точках кипения при нормальном давлении одинаковы (правило Трутона)". Расширение соответственных состояний закона связано с переходом от термич. ур-ния состояния к калорическому и справедливо только при дополнит. допущениях.
Еще более расширит. толкование имеет соответственных состояний закон в теории поверхностного натяжения. Р. Этвеш постулировал (1886), что поверхностная энергия, отнесенная к т-ре, для подобных в-в в соответственных состояниях одинакова. Эмпирич. ур-ние Этвеша для поверхностного натяжения о:
sV3/2/T=2,22(1/т-1).
Соответственных состояний закон сформулирован в кон. 19 в. и в настоящее время ни в одном из вариантов не может рассматриваться как всеобщий. Он служит в качестве основы для классификации в-в по термодинамич. св-вам, наряду с др. формами такой классификации, и может использоваться для прогнозирования св-в неизученных в-в.
Лит.: Ландау Л. Д., Лифшиц Е. М., Статистическая флика, 3 изд., ч. 1, М., 1976; Филиппов Л. П., Подобие свойств веществ, М., 1978. М. В. Коробов.