Маноол

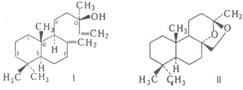
МАНООЛ [(13R)-лабда-8(20),14-диен-13-ол, ф-ла I], мол. м. 290,43; бесцв. кристаллы; т. пл. 53 °С, т. кип. 144-145 °С/0,2 мм рт. ст.; [a]D19 + 30,4 °С (этанол); не раств. в воде, хорошо раств. в орг. р-рителях. Обнаружен во мн. хвойных растениях, получают из австралийской желтой сосны Darqdium biforme. В сосне скрученной (Pinus contorta) найден 13-эпиманоол, а в нек-рых растениях рода Viguiera - энантиоманоол. При гидрировании маноол дает тетрагидро-маноол, при дегидрировании - смесь 1,2,5-триметилнафталина и 1,7-димeтилфенантрена.
641_667-3.jpg
При окислении КМnО4 образует соед. ф-лы II, применяющееся в парфюм. пром-сти в качестве заменителя серой амбры. Получают маноол многостадийным синтезом из 2,2,6-тримстилциклогексанона. Маноол - биогенетич. предшественник нек-рых три- и тетрациклич. дитерпеноидов.
Литература
Влад П. Ф., "Успехи химии", 1982, т. 52, в. 7, с. 1129-56. П. Ф. Влад.

Комментарии*

Дополнения к описанию маноола:

  • Структурные особенности: Относится к классу лабдановых дитерпеноидов. Его структура содержит лабдановый скелет с двойными связями в положениях 8(20) и 14, а также гидроксильную группу при атоме углерода C-13.
  • Биологическая активность: Проявляет антимикробную, противовоспалительную и цитотоксическую активность, что делает его объектом исследований в фармакологии.
  • Биосинтез: В растениях маноол синтезируется из геранилгеранилпирофосфата (GGPP) через ряд циклизаций и окислительно-восстановительных реакций.
  • Значимость в химии: Является ключевым полупродуктом в синтезе более сложных дитерпеноидов, таких как манóева кислота, благодаря реакционноспособным двойным связям и гидроксильной группе.
*Подобраны с помощью LLM, верифицированы, но возможны неточности.