Бензотиофены

БЕНЗОТИОФЕНЫ, мол. м. 134,2; бесцв. кристаллы. Существуют в виде двух изомеров - бензо [в] тиофена (ф-ла I) и бензо [с] тиофена (II).
1053-39.jpg

Для бензо [в] тиофена (тионафтена) т. пл. 31,34°С (пикрата 149°С), т. кип. 219,9°С, 103-105°С/20 мм рт. ст.; d440 1,1937, nD20 1,6302. Он хорошо раств. в орг. р-рителях, плохо-в воде;1053-40.jpg 2,06*10-30 Кл*м (бензол). Обладает ароматич. с в-вами. Электроф. замещение идет гл. обр. в положения 3 и 2 (реакц. способность др. положений уменьшается в ряду 6 > 5 > 4 > 7). Металлирование с помощью C4H9Li идет в положение 2. Электронодонорные заместители в положении 2 или 3 направляют замещение в соседнее положение, электроноакцепторные - в бензольное кольцо. Введение одной или двух алкоксигрупп в бензольное кольцо значительно облегчает ацилирование и направляет его в положение 2. При взаимод. с Na в жидком NH3 образуется о-этилтиофенол, с никелем Ренея - этилбензол. Сильные алкилирующие ср-ва алкилируют по S с образованием солей бензотиофения. Бензо [в] тиофены с группой NH2 во 2 или 3 положении мало устойчивы. Обычно их выделяют в виде солей или N-ацильных производных. 2- и 3-Гидрохсибензотиофены существуют только в виде оксопроизводных.

Бензо [в] тиофен и его алкильные производные обнаружены в сланцевых маслах, кам.-yr. смоле и нефтях. Его получают взаимод. стирола с H2S при 600 °С. Бензо [в] тиофен и его производные синтезируют циклизацией сульфидов PhSCH(R)COR' (R=H, Alk; R'= ОН, OAlk, Alk, Ar), взаимод. коричных к-т с SOC12:
1053-41.jpg

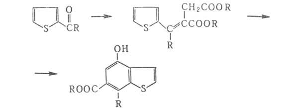
аннелированием бензольного кольца к тиофеновому, напр.:
1053-42.jpg

р-цией S с экзогалогенопроизводными алкилбензолов, напр.:
1053-43.jpg

Бензо [в] тиофен используют как добавку к электролиту при никелировании; бензо [в]тиофен-3(2H)-он и его производные (тиоиндоксилы) применяют в синтезе тиоинди-гоидных красителей.

Бензо [с] тиофен (изобензотиофен) - в-во с сильным запахом нафталина; т. пл. 50-51 °С. Разлагается уже при — 30 °С в атмосфере N2. Нестабильность обусловлена повыш. электронной плотностью у углеродных атомов в положениях 1 и 3 (1,3-замещенные бензотиофенов устойчивы). Легко образует аддукты с малеиновым ангидридом и др. диенофилами. Получают его из 1,3-дигидробензо [с] тиофена, к-рый в свою очередь синтезируют из о-ксилолдибромида или фталевого тиоангидрида:
1053-44.jpg

Литература

Hartough H. D.. Meisel S. Н.. в кн.: Compounds with condensed thiophene rings, N.Y.. 1954, p. 17-224; Iddon В., Scrowston R. M., в кн.: Advances in heterocyclic Chemistry, v. 11. N.Y.-Z.. 1970, p. 177-381. В. И. Шведов.

Синонимы/примеры:* Бензотиофен; Тионафтен
*подобраны ИИ, возможны неточности