Вудворда реакция
ВУДВОРДА РЕАКЦИЯ, окисление алкенов в эритро-гликоли действием 1
2 и CH
3COOAg:
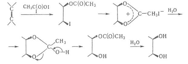
Процесс осуществляют в водном р-ре уксусной к-ты при комнатной т-ре или нагревании. Из серебряной соли и I2 первоначально образуется ацилгипоиодит, или комплекс Симонини (ф-ла I), к-рый присоединяется к алкену.
Р-цию используют для получения алициклич. гликолей, в т.ч. для гидрооксилирования стероидов; наиб. эффективно ее применение для синтеза гликолей из алкенов с длинной углеродной цепью. Р-ция открыта Р. Вудвордом в 1954.
При проведении р-ции в инертных р-рителях (в сухом бензоле, эфире и др.) с использованием бензоата Ag и 12 образуются трео-гликоли (р-ция Прево).
Ганстон Ф. Д., в кн.: Успехи органической химии, пер. с англ., т. 1, М., 1963, с. 130-35; Общая органическая химия, пер. с англ., т. 2, М., 1982, с. 124-25; Cambie R. [а. о.], "Austral. J. Chem.", 1982, v. 35, № 10, p. 2111-130. Г. Л. Мищенко.
Комментарии*
Дополнения к описанию Вудворда реакции:
- Механизм реакции: Реакция протекает через циклический иодониевый ион, который образуется при атаке двойной связи алкена на комплекс Симонини (CH₃C(O)OI). Последующий нуклеофильный разкольцо этого промежуточного соединения ацетат-анионом приводит к образованию trans-диацетата. Его гидролиз и дает конечный эритро-диол.
- Стереохимия: Ключевой особенностью является селективное образование именно эритро-изомера 1,2-диола (в проекции Фишера гидроксильные группы находятся по одну сторону углеродной цепи). Это является следствием anti-присоединения реагентов через циклический иодониевый ион.
- Контекст с реакцией Прево: Реакции Вудворда и Прево являются комплементарными. В реакции Прево, которая проводится в безводных апротонных растворителях, происходит anti-присоединение, но первым нуклеофилом, атакующим иодониевый ион, является бензоат-ион, что в итоге после гидролиза приводит к образованию трео-изомера. Таким образом, выбор условий (водные vs безводные) позволяет направленно получать один из двух диастереомеров гликоля.
*Подобраны с помощью LLM, верифицированы, но возможны неточности.
Синонимы/примеры:*
Реакция Вудворда; Окисление Вудворда
*подобраны ИИ, возможны неточности
Дополнения к описанию Вудворда реакции: