Циклические пептиды (циклопептиды). Способы получения дикетопиперазинов
Полипептиды могут иметь и циклическое строение. Особенно легко образуются циклы, построенные из двух остатков аминокислот (циклодипептиды). Эти соединения, которые можно рассматривать как производные пиперазина, получили название 2,5-дикетопиперазинов.
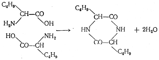
Способы получения дикетопиперазинов. 1. Нагревание аминокислот. Многие аминокислоты, например лейцин, образуют дикетопиперазины уже при нагревании их растворов в глицерине или этиленгликоле:

2. Получение из эфиров аминокислот. Еще легче идет образование дикетопиперазинов при нагревании эфиров аминокислот:

3. Получение из эфиров дипептидов. Эфиры дипептидов при нагревании также легко замыкаются в дикетопиперазины. Таким способом удается получить дикетопиперазины, состоящие из двух различных аминокислот: