Гомологизация

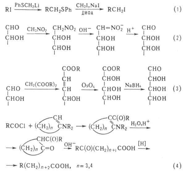
ГОМОЛОГИЗАЦИЯ (от греч. homologos-соответствующий, подобный), получение гомолога в результате удлинения цепи молекулы на один, два или неск. атомов С (одно-, двух-, трехуглеродная гомологизация и т.д.). Как правило, для этого вводятся группы1117-3.jpg , в случае Сахаров -1117-4.jpg Обычно гомологизация-результат многостадийного синтеза, включающего изменение функц. группы с послед. ее регенерирова-нием. Примеры одноуглеродной гомологизации-Арндта-Айстерта реакция, действие гетерозамещенных метил-анионов из сульфидов, сульфоксидов или селеноксидов на алкилиодиды (см., напр., ур-ние 1), р-ция Coyдена-Фишера (2); двухуглеродной-р-ция Кочеткова-Дмитриева (3); пяти- и шестиуглеродной-р-ция Хюнига (4).
1117-5.jpg

Иногда к гомологизации относят удлинение цепи олефинов с введением функц. групп при гидроборировании и послед. конденсации с ненасыщ. соединениями (5), а также расширение циклов или образование конденсиров. циклопропанов за счет введения групп СН2 (6):
1117-6.jpg
1117-7.jpg

Гомологизация широко используют в орг. синтезе, особенно в химии сахаров.

Литература

Мищенко Г Л., Вацуро К. В., Синтетические методы в органической химии, М., 1982. К. В. Вацуро. Е.М.Рохлин.

Комментарии*

Дополнения к описанию гомологизации:

  • Механизм и реагенты:

    • Одноуглеродная гомологизация часто осуществляется с использованием диазометана, реактивов Арндта-Айстерта (превращение карбоновых кислот в их гомологи через диазокетоны) или реакции Кольбе-Шмитта.
    • Двухуглеродное удлинение может достигаться с помощью ацетиленидов (реакция с алкилгалогенидами) или реакцией Виттига.
    • Важным методом является также реакция Килиани-Фишера для сахаров, где альдоза превращается в более длинноцепочечную через циангидринный синтез.
  • Применение и значимость:

    • Критически важна в синтезе природных соединений (терпены, стероиды, макролиды) для поэтапного наращивания углеродного скелета.
    • Широко используется в фармацевтическом синтезе для создания аналогов биологически активных соединений с улучшенными свойствами.
    • Применяется в нефтехимии для получения высших спиртов и карбоновых кислот (оксосинтез).
  • Особые случаи:

    • В химии циклоалканов гомологизация (расширение цикла) часто осуществляется через циклопропановые промежуточные соединения или перегруппировки.
    • Олигомеризация метана с получением высших углеводородов также является примером гомологизации в промышленных масштабах.
*Подобраны с помощью LLM, верифицированы, но возможны неточности.
Синонимы/примеры:* Гомологизация; Гомологизация алканов; Гомологический ряд
*подобраны ИИ, возможны неточности