Гуанозинтетрафосфат

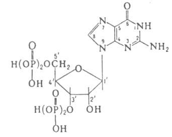
ГУАНОЗИНТЕТРАФОСФАТ (гуанозин-5'-дифосфат-3'-дифосфат), внутриклеточный регулятор метаболизма бактерий.
1121-28.jpg

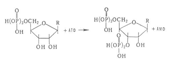
В норме концентрация гуанозинтетрафосфата в клетке составляет 0,05-0,2 мМ. При уменьшении внутриклеточного фонда аминокислот и (или) неполном аминоацилировании транспортной РНК (тРНК) концентрация возрастает до 1-2 мМ. Это происходит в результате инициирования свободными тРНК синтеза предшественника гуанозинтетрафосфата -гуанозин-5'-трифосфат-3'-дифосфата (гуанозинпентафосфата), к-рый образуется при переносе остатка пирофосфорной к-ты от АТФ в положение 3' гуанозинтрифосфата:
1121-29.jpg

где R-остаток гуанозина, АТФ и AMФ-соотв. аденозин-три- и аденозинмонофосфат. Гуанозинтетрафосфат образуется путем отщепления остатка фосфорной кислоты из положения 5' гуанозинпентафосфата, период полураспада к-рого составляет 20 с.

Содержание гуанозинтетрафосфата в клетке регулируется как скоростью его синтеза, так и скоростью распада с образованием гуано-зин-5'-дифосфата и пирофосфорной кислоты. При дефиците в клетке аминокислот период полураспада гуанозинтетрафосфата составляет 30 с. Если клетки лишены источника углерода, активность фермента, катализирующего расщепление гуанозинтетрафосфата, понижается и период полураспада возрастает в 10 раз.

Накопление гуанозинтетрафосфата в клетках бактерий характеризует их "стрессовое" состояние, вызванное ухудшением условий роста, и инициирует перестройку метаболизма бактерий, необходимую для адаптации клеток к дефициту аминокислот и др. источников питания. При этом подавляется син-те рибосомных и тРНК, транскрипция генов, кодирующих структуру рибосомных белков и белковых факторов трансляции, транспорт углеводов, синтез липидов и дыхание. Одновременно усиливается транскрипция оперонов, ответственных за биосинтез аминокислот, и ускоряется распад клеточных белков.

Действие гуанозинтетрафосфаа на транскрипцию оперонов, ответственных за синтез аминокислот, и генов рибосом направлено на изменение скорости инициирования транскрипции. Предполагают, что механизм этого процесса включает взаимод. гуанозинтетрафосфата с ферментом РНК-полимеразой (катализирует синтез РНК из нуклеотидов), после чего ее сродство к промоторам рибосомных генов понижается, а к промоторам аминокислотных оперонов возрастает. Влияние гуанозинтетрафосфата на протекание остальных процессов не изучено. Не исключено, что лишь некоторые из них регулируются непосредственно гуанозинтетрафосфатом, а остальные изменения носят вторичный характер.

Лит. ШакуловР.С.. КлячкоЕ.В, в кн.. Итоги науки и техники. Сер. Биологическая химия, т. 18, М., 1983. с. 194 237. Р С Шаку.юв.

Синонимы/примеры:* Гуанозин-5'-тетрафосфат; ppGpp
*подобраны ИИ, возможны неточности