Дёбнера-Миллера реакция

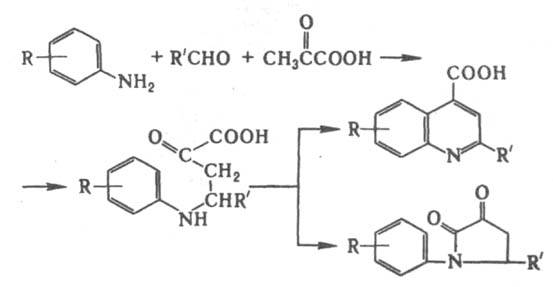
ДЁБНЕРА-МИЛЛЕРА РЕАКЦИЯ, получение замещенных хинолина циклоконденсацией ароматич. аминов, у к-рых свободно орто-положение, с альдегидами или кетонами. 2,3-Дизамещенные хинолина получают с хорошим выходом по схеме:
001_020-17.jpg
Первая стадия - кротоновая конденсация, к-рую осуществляют в присут. ZnCl2, а также соляной к-ты или H2SO4. Дегидрирование промежут. соед. I происходит под действием азометинов, образующихся при взаимод. исходного амина с альдегидом. Существуют и др. взгляды на механизм р-ции. Использование двух разл. альдегидов также приводит к 2,3-дизамещенным хинолина. Для получения 2,4-дизамещенных хинолина в р-ции используют пировиноградную к-ту:
001_020-18.jpg
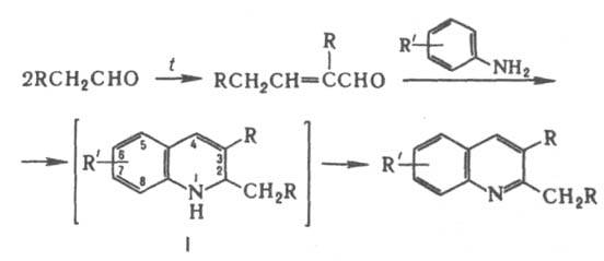
Из ароматич. альдегидов (R'-арил) образуются гл. обр. производные хинолина, из алифатических (R'- алкил) - пирролидоны, Р-ция открыта О. Дёбнером и В. Миллером в 1881. Модификация Бейера - получение 2,4-дизамещенных хинолинов взаимод. смеси альдегида и метилкетона с ароматич. амином:
001_020-19.jpg
Предложена К. Бейером в 1886. Исп. литература: Гетероциклические соединения, пер. с англ., т. 4, М., 1955, с. 13-14, 20-23; Общая органическая химия, пер. с англ., т. 8, М., 1985, с. 201-203. Г. В. Гришина.

Комментарии*

Дополнения к описанию реакции Дёбнера-Миллера:

  • Механизм реакции включает образование имина из амина и карбонильного соединения, последующую электрофильную атаку на ароматическое кольцо и циклизацию с дегидратацией
  • Катализаторы: помимо ZnCl₂, HCl и H₂SO₄, часто используют другие кислоты Льюиса и протонные кислоты
  • Современное применение в синтезе:
    • Фармацевтических соединений с хинолиновым фрагментом
    • Натуральных алкалоидов
    • Фотосенсибилизаторов и красителей
  • Преимущества: хорошие выходы, доступные исходные реагенты, возможность получения разнообразно замещенных хинолинов
  • Ограничения: требует наличия свободного орто-положения в ароматическом амине
*Подобраны с помощью LLM, верифицированы, но возможны неточности.