Отхаркивающие средства
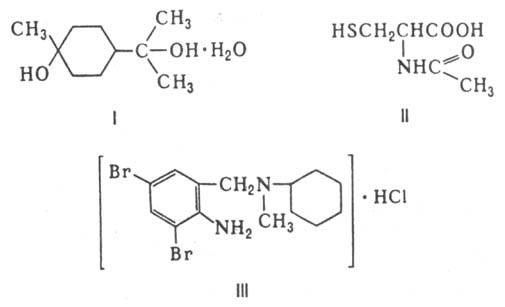
ОТХАРКИВАЮЩИЕ СРЕДСТВА, в-ва, усиливающие и облегчающие выделение мокроты (слизи) из дыхат. путей. Различают препараты прямого и рефлекторного типов действия. Отхаркивающие средства прямого типа действия оказывают непо-средств. раздражающее или стимулирующее влияние на секреторные бронхиальные железы слизистой оболочки бронхов. К ним относят нек-рые препараты, содержащие иод (напр., NaI и KI), эфирные масла (анисовое, фенхелевое, эвкалиптовое, терпентинное и др.), синтетич. препараты (терпингидрат, ф-ла I; бензоат натрия C6H5COONa; р-р аммиака; NH4Cl). Препараты иода частично выделяются через бронхиальные железы и оказывают раздражающее действие на их железистую ткань. Активные в-ва эфирных масел-терпены и ароматич. углеводороды, непосредственно стимулируют секрецию бронхиальных желез. Аналогично действуют и синтетич. препараты. К отхаркивающим средствам прямого типа действия относят также т.наз. муколитические в-ва, к-рые при непосредств. контакте с мокротой уменьшают ее вязкость. Такими св-вами обладают ряд ферментов (трипсин, химотрипсин, дезоксирибонуклеазы и др.), нек-рые производные аминокислот [напр., ацетилцистеин(П)], бромгексин (III), NaHCO3.

Отхаркивающие средства рефлекторного типа действия раздражают рецепторы в желудке и рефлекторно усиливают секрецию бронхиальных желез, что сопровождается уменьшением вязкости мокроты. Кроме того, они усиливают активность мерцательного эпителия слизистой оболочки воздухоносных путей и стимулируют сокращения гладкой мускулатуры бронхов, что облегчает выведение мокроты. Нек-рые из этих в-в (напр., апоморфин, ликорин)относят к рвотным ср-вам, т.к. в больших дозах они вызывают тошноту и рвоту. Кроме того, отхаркивающие средства рефлекторного типа действия включают препараты нек-рых лек. растений: траву термопсиса (Thermopsis lanceoeata семейства бобовых), корень алтея (Althaea officinalis и Althaea armeniaca семейства мальвовых), корень истода (Polygala tenuifolia и Polygala sibiricum семейства истодовых), корень солодки (Glycyrrhiza glabra и Glycyrrhiza uralensis семейства бобовых), корневище с корнями синюхи (Polemonium coeruleum семейства синюховых) и др. Отхаркивающий эффект вызывают содержащиеся в названных растениях алкалоиды, сапонины и эфирные масла.
Отхаркивающие средства применяют при заболеваниях легких и дыхат. путей, сопровождающихся образованием вязкой и трудно отделяемой мокроты.
Лит.: Машковский М. Д., Лекарственные средства, 10 изд., т. 1, М., 1986, с, 321., Г.Я.Шварц.