Фоторезисты
ФОТОРЕЗИСТЫ, светочувствит. материалы, применяемые в фотолитографии для формирования рельефного покрытия заданной конфигурации и защиты нижележащей пов-сти от воздействия травителей.
Фоторезисты обычно представляют собой композиции из светочувствит. орг. в-в, пленкообразователей (феноло-формальдегидные и др. смолы), орг. р-рителей и спец. добавок. Характеризуют фоторезисты светочувствительностью, контрастностью, разрешающей способностью и теплостойкостью (см. Репрография, Фотографические материалы). Область спектральной чувствительности фоторезистов определяется наличием в светочувствит. орг. в-вах хромофорных групп способных к фотохим. превращениям, и областью пропускания пленкообразователя.
По спектральной чувствительности различают фоторезисты для видимой области спектра, ближнего (
320-450 нм) и дальнего (
180-320 нм) УФ излучения, по характеру взаимод. с излучением делят на позитивные и негативные. Фоторезисты могут быть жидкими, сухими и пленочными. Жидкие фоторезисты содержат 60-90% по массе орг. р-рителя, пленочные - менее 20%, сухие обычно состоят только из светочувствит. в-ва. Жидкие фоторезисты наносят на подложку (см. Планарная технология)центрифугированием, напылением или накаткой валиком, сухие -напылением и возгонкой, пленочные - накаткой. Последние имеют вид пленки, защищенной с двух сторон тонким слоем светопроницаемого полимера, напр. полиэтилена. В зависимости от метода нанесения формируют слои толщиной 0,1-10 нм; наиб. тонкие слои (0,3-3,0 мкм) формируют из жидких фоторезистов методом центрифугирования или из сухих фоторезистов методом возгонки.
При экспонировании в слое фоторезиста образуется скрытое изображение. При этом светочувствит. компонент претерпевает ряд фотохим. превращений, напр. подвергается фотополимеризации или структурированию либо разлагается с выделением газообразных продуктов; в зависимости от этого светочувствит. в-во закрепляется (сшивается) на экспониров. участках и не удаляется при дальнейшем проявлении (визуализации) под действием орг. или водно-щелочных р-рителей или плазмы (негативные фоторезисты) либо переходит в растворимое состояние и легко удаляется с экспониров. участков при проявлении (позитивные фоторезисты).
Из позитивных фоторезистов наиб. распространены композиции, содержащие в качестве светочувствит. компонента сульфо-эфиры о-нафгохинондиазида (5-40% по массе), а в качестве пленкообразователя - новолачные смолы (до 50%). При экспонировании сульфоэфир переходит в сульфопроизводное инденкарбоновой к-ты (ф-ла I) и при проявлении под действием водно-щелочного р-рителя удаляется с экспониров. участков пов-сти вместе со смолой:

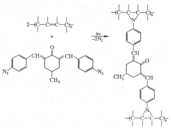
Среди негативных фоторезистов наиб. распространены композиции на основе циклоолефиновых каучуков с диазидами в качестве сшивающих агентов, а также сенсибилизированные поливиниловый спирт, поливинилциннамат и др. Схема превращения негативного фоторезиста на основе каучука и диазида представлена р-цией:

Сшитый полимер закрепляется на подложке, а рельефное изображение (маска) образуется в результате вымывания фоторезиста с неэкспониров. участков.
Для дальнего УФ излучения применяют позитивные фоторезисты на основе сенсибилизиров. полиметакрилатов и арилсульфоэфи-ров с фенольными смолами, а также негативные фоторезисты на основе композиций галогенированных полистиролов и диазидов с феноло-формальдегидными и др. смолами. Перспективны фоторезисты, работающие на принципе хим. усиления скрытого изображения; такие фоторезисты в качестве светочувствит. компонента содержат ониевые соли (напр., Ph3S+X- и Ph2I+X-, где X = AsF6, SbF6, PF6, CF3SO3), катализирующие темновые р-ции др. компонентов фоторезистов (напр., эфиров нафтолов, резольных смол).
Позитивные фоторезисты чувствительны к экспозиции 10-250 мДж/см2, имеют разрешающую способность 0,1-2,0 мкм, контрастность 1,5-5, теплостойкость 120-140 0C; негативные фоторезисты, как правило, более чувствительны, но имеют худшую разрешающую способность.
Для получения защитных покрытий заданной конфигурации помимо фоторезистов используют материалы, чувствительные к воздействию пучка электронов с энергией 5-50 кэВ (электронорезисты), рентгеновского излучения с
0,2-0,5 нм (рентгенорезисты) или ионов легких элементов (напр., H+, Не+, O+, Ar+) с энергией более 50 кэВ (ионорезисты). В качестве наиб. Вaжныx позитивных электроно-, рентгено- и ионорезистов применяют композиции на основе производных полиметакрилатов (напр., галоген-, циано- и амидозамещенных), поли-алкиленкетонов и полиолефинсульфонов, в качестве негативных - гомо- и сополимеры производных метакрилата, бутадиена, изопрена, стирола, кремнийорг. соед. и др.
Лит.: Валиев К.А., Раков А.А., Физические основы субмикронной литографии в микроэлектронике, M., 1984; Светочувствительные полимерные материалы, под ред. А.В. Ельцова, Л., 1985. Г.К. Селиванов.