Аминоалкилирование

АМИНОАЛКИЛИРОВАНИЕ, введение аминоалкилыюй группы в молекулу. Осуществляется взаимодействием:

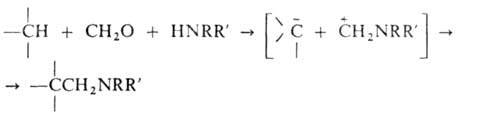
1) соед., содержащих активированный атом Н, с формальдегидом и NH3 или аминами (Манпиха реакция):
1024-31.jpg

2) аминоалкилгалогенидов с соед., содержащими подвижный атом Н, напр. с бензилцианидом, инденом, флуореном, в присут. оснований (КОН, NaOH, NaNH2 и др.):
1024-32.jpg

где обычно п = 2-6 (р-ция Айслеба); процесс протекает легче, если Hal - хлор или бром, а также при использовании полярных апротонных р-рителей (ДМСО, ДМФА);

3) ароматич. соед. с N-гидроксиметиламидами в присут. сильных к-т с послед. гидролизом образовавшегося продукта (р-ция Айнхорна):
1024-33.jpg

где R - Alk, CH2C1, CC13, Ph и др.

Комментарии*

Аминоалкилирование — введение аминоалкильной группы в молекулу. Осуществляется взаимодействием:
1) соединений, содержащих активированный атом Н, с формальдегидом и NH₃ или аминами (реакция Манниха);
2) аминоалкилгалогенидов с соединениями, содержащими подвижный атом Н, например, с бензилцианидом, инденом, флуореном, в присутствии оснований (КОН, NaOH, NaNH₂ и др.), где обычно n = 2–6 (реакция Айслеба); процесс протекает легче, если Hal — хлор или бром, а также при использовании полярных апротонных растворителей (ДМСО, ДМФА);
3) ароматических соединений с N-гидроксиметиламидами в присутствии сильных кислот с последующим гидролизом образовавшегося продукта (реакция Айнхорна), где R — Alk, CH₂Cl, CCl₃, Ph и др.

Дополнения:

  • Ключевые свойства и механизмы: Реакция Манниха протекает через образование иминиевых интермедиатов, а реакция Айслеба — через нуклеофильное замещение.
  • Применение: Широко используется в синтезе фармацевтических препаратов (например, противоаллергических и противогрибковых средств), алкалоидов, поверхностно-активных веществ и лигандов в координационной химии.
  • Интересные факты: Реакция Манниха позволяет получать β-аминокарбонильные соединения, которые служат ключевыми интермедиатами в синтезе гетероциклических соединений.
*Подобраны с помощью LLM, верифицированы, но возможны неточности.