Метилдихлорфосфин
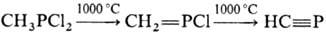
МЕТИЛДИХЛОРФОСФИН СН3РСl2, мол.м. 116,86; бесцв. дымящая на воздухе жидкость с резким неприятным запахом; т. пл.-60°С, т. кип. 81-82°С; 4° 1,3040; nD20 1,4960. Раств. в орг. р-рителях, гидролизуется водой. По х-им. св-вам-типичный представитель галогенфосфинов. При высокой т-ре разлагается:

При действии избытка Сl2 образует трихлорметилтетра-хлорфосфоран ССl3РСl4.
В пром-сти метилдихлорфосфин получают алкилированием белого или красного Р метилхлоридом в присут. катализатора (обычно порошкообразная Сu или ее соли) при 300-350 °С, прямым фосфорилированием СН4 под действием РСl3 при 600 °С с послед. удалением избытка РСl3 обработкой реакц. смеси фенолом. В лаборатории метилдихлорфосфин синтезируют взаимод. РСl3, СН3Сl и АlСl3 (Клея-Киннера-Перрена реакция)с послед. восстановлением образовавшегося комплекса электрохимически, алюминием или цинком: РСl3 + СН3Сl + АlСl3
[СН3РСl3] [Аl2Сl7]
СН3РСl2. Метилдихлорфосфин получают также восстановлением СН3Р(Х)Сl2 алюминием или Zn (X = О) или R3P (X = S), алкйлированием РСl3 тетраметилсвинцом. Метилдихлорфосфин применяют для получения эфиров, амидов метилфосфо-нистой к-ты и др. фосфорорг. соединений. Метилдихлорфосфин токсичен, раздражает кожу и слизистые оболочки.
Исп. литература для статьи «МЕТИЛДИХЛОРФОСФИН»: Houben-Weyl, Methoden der organischen Chemie, 4 Aufl., Bd 12, Stuttg-N. Y., 1963; Bd E 1, E 2, N. Y., 1982; Kosolapoff G. M., Maier L., Organic phosphorus compounds, v. 4-5, N.Y., 1972. H.B. Лукашев.