Галогенфосфины

ГАЛОГЕНФОСФИНЫ, соед. общей ф-лы RnPHal3_n, где и= 1,2; R-opг. радикал. Молекулы имеют пирамидальную форму; углы связей у Р составляют 98-102° (см. также табл. 1).

Табл. 1.-УСРЕДНЕННЫЕ ХАРАКТЕРИСТИКИ СВЯЗЕЙ ФОСФОРА С ГАЛОГЕНАМИ В ГАЛОГЕНФОСФИНАХ
1097-13.jpg

Табл. 2-СВОЙСТВА ГАЛОГЕНФОСФИНОВ
1097-14.jpg

Свойства. Большинство галогенфосфинов-жидкости (табл. 2) с характерным неприятным запахом; хорошо раств. в орг. р-рителях. Диапазон хим. сдвигов в спектре ЯМР 31Р относительно 85%-ной Н3РО4 от 0 до 250 м.д.

Галогенфосфины-слабые основания. Реагируют с в-вами, имеющими в молекуле гидроксильную группу; в мягких условиях с водой образуют к-ты RPH(O)OH или R2P(O)H. Легко окисляются [напр., CH3PF2 и (СН3)2РС1 на воздухе воспламеняются]. Для окисления галогенфосфинов в галогенангидриды фосфоновых или фосфиновых к-т используют О2, NO2, SO2C12. Сера и нек-рые ее соед. окисляют галогенфосфины до в-в, содержащих связь P=S.

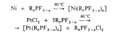
Многие галогенфосфины образуют сравнительно устойчивые комплексы с переходными металлами, напр.:
1097-15.jpg

Связь металл-Р наиб. короткая и прочная в комплексах с фторфосфинами. Галогены, сульфенхлориды, сульфенамиды, хлорамины взаимод. с галогенфосфинами, образуя фосфораны:

1097-16.jpg

(иногда Hal внедряется в углеводородный радикал). При взаимод. галогенфосфинов с нуклеоф. реагентами могут образовываться соед. с различным координац. числом атома Р, напр.:

1097-17.jpg

Галогенфосфины взаимод. с альдегидами и кетонами с образованием1097-18.jpgгалогеналкильных производных четырехкоординац. фосфора, с галогенангидридами карбоновых к-т - с образованием1097-19.jpgгидроксиалкильных, с иминами -1097-20.jpgаминоалкильных, напр.:
1097-21.jpg

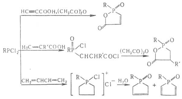
С ненасыщ. карбоновыми к-тами или диенами галогенфосфины дают фосфинаты и фосфиноксиды, в т.ч. циклич. структуры, напр.:
1097-22.jpg

При восстановлении галогенфосфинов образуются фосфины, циклопелифосфины или дифосфины, напр.:
1097-23.jpg

Соед. двух последних типов получаются также при разложении алкилфторфосфинов в процессе их хранения или при взаимод. галогенфосфинов с фосфинами.

Получение и применение. наиб. разработаны методы синтеза алкил(арил)дихлорфосфинов и перфторалкилиодфосфинов. Метилдихлорфосфин получают с использованием алюминийорг. соед., напр.:
1097-24.jpg

Возможно также использование др. металлоорганических соединений, напр.: РС13 + (С2Н5)4Рb -> С2Н5РС12 (выход 96%).

Важное значение имеет высокотемпературный (~ 600 °С) синтез алкилдихлорфосфинов в газовой фазе при взаимод. РС13 с алканами. Процесс катализируется О2 и ингибируется непредельными углеводородами; выход в расчете на прореагировавший РС13 достигает 80%. Алкилдихлорфосфины с удовлетворительными выходами можно получить также при пропускании углеводородов над РС15, нагретым до 500-650 °С.

Ок. 200 °С в присут. Р олефины реагируют с РС13 с образованием бис-(дихлорфосфино)алканов с выходом 20-70%. Преимущественно дигалогенфосфины образуются: при пропускании паров хлористых или бромистых алкилов над красным Р при 260-400 °С (кат.-Сu, CuHal); при взаимод. арил- или аралкилгалогенидов с Р (без катализатора); в р-циях белого Р с RHal в среде РС13 (кат.-I2 или Вr2). Нагреванием белого Р с СС14 получают СС13РС12; при использовании СС13Вr вместо СС14 образуются соед. со связями Р—Р. Полифторалкилиодфосфины (RF)nPI3_n получают взаимод. полифториодалканов с красным Р в присут. I2 при 200-250 °С, алхилполифторалкилгалогенфосфины - алкилированием полифосфинов: (RP)n1097-25.jpg RR'PHal (R,R'-Alk, полифторалкил; Hal-I, Br).

Галогенфосфины с ароматич. радикалами получают по р-ции Фриделя-Крафтса, напр.:
1097-26.jpg

или взаимод. галогенидов трехвалентного Р с тетрафторборатами арилдиазония, напр.:
1097-27.jpg

Галогенфосфины можно синтезировать также восстановлением галогенидов четырех- или пятикоординац. Р или с использованием р-ций замещения к.-л. группы на атом галогена, напр.:
1097-28.jpg

Для замены атомов одного галогена на атомы другого используют р-ции:
1097-29.jpg

Галогенфосфины-один из наиб. изученных классов фосфорорг. соединений. Их применяют в синтезе огнестойких пропиток текстильных материалов, инсектицидов, лек. препаратов, экстрагентов, катализаторов, антиоксидантов, модификаторов полимеров и др. См. также Диметилхлорфосфин, Метилдихлорфосфин.

Литература

П у рдела Д., Вы л чану Р., Химия органических соединений фосфора, пер. с рум., М., 1972, с. 68-162; Houben-Weyl, Methoden der Organischen Chemie, 4 Aufl., Bd 12, Tl 2, Sttutg., 1964, S. 212-26; Emoto Т., "J. of Synthetic Organic Chemistry", 1970, v. 28, № 2, p. 143-76; "Angcwandte Chemie International Edition", 1981, Bd 20, S. 223. Г.И. Дрозд.

Синонимы/примеры:* Фосфин галогениды; Галогениды фосфина; Фосфоран галогениды
*подобраны ИИ, возможны неточности