Фосфорорганические соединения
ФОСФОРОРГАНИЧЕСКИЕ СОЕДИНЕНИЯ, содержат в молекулах атом P, связанный с орг. радикалами непосредственно или через гетероатом (О, S, N и др.). Первые фосфорорганические соединения (смесь метилфосфинов) получены в 1846 Л. Тенаром и И. Берцелиусом при метилировании фосфида Ca.
Классификация. Фосфорорганические соединения можно классифицировать по кол-ву заместителей у атома P (координационному числу), к-рых м. б. от 1 до 6. Примеры соед. с разл. координационным числом атома P приведены в табл. 1.
Табл.1.- ПРИМЕРЫ ФОСФОРОРГАНИЧЕСКИХ СОЕДИНЕНИЙ С РАЗЛИЧНЫМИ КООРДИНАЦИОННЫМИ ЧИСЛАМИ АТОМА P
| Координационное число | Соединение | ||
| 1 | (CH3)3CC | ||
| 2 | [(СНз)2]N]2С = РН | ||
| 3 | P(OCНз)3; | ||
| 4 | (C4H9)3PO; | ||
| 5 | C6H5(CH3)2P(OC2H5)2 | ||
| 6 | | ||
По др. классификации, охватывающей наиб. распространенные фосфорорганические соединения, выделяют фосфорсодержащие к-ты (см. также Фосфора кислоты)и их производные (табл. 2), а также фосфины и родств. соединения.
Табл.2.- НАЗВАНИЕ НЕКОТОРЫХ КИСЛОТ ФОСФОРА, ИХ ЭФИРОВ И СОЛЕЙ
| Формула | Эфиры и соли | |||
| Производные пятивалентного P | ||||
| (HO)3PO | Ортофосфорная к-та (фосфорная к-та) | |||
| RP(O)(OH)2 | Фосфоновые к-ты | |||
| R2P(O)OH | Фосфиновые к-ты | |||
| Производные трехвалентного P | ||||
| HP(OH)2* | Гипофосфористая к-та (фосфорноватистая к-та) | Гипофосфиты | ||
| P(OH)3 | Фосфористая к-та | |||
| RP(OH)2* | Фосфонистые к-ты | |||
| R2POH* | Фосфинистые к-ты | Фосфиниты | ||
* Используются ф-лы таутомерных форм к-т с трехвалентным атомом P.
К фосфорорганическим соединениям второго типа относятся первичные RPH2, вторичные R2PH и третичные R3P фосфины, а также окисленные формы последних: фосфиноксиды R3PO, фосфинсульфиды R3PS (см. Фосфиноксиды и фосфинсульфиды), фосфинселениды R3PSe, фосфазосоединения R3P = NR и фосфинал-килены R3P = CR2. Ко второму типу принадлежат также фосфониевые соединения
и фосфораны R5P.

Известны также полифосфины и их производные [напр., дифосфины R2P — PR2, цик- лопентафосфины (ф-ла I)] и металлокомплексы [напр., (RO)3P· CuBr, (R3P)3RhCl, R3PO· SnR4]. Во всех приведенных ф-лах радикалы R м. б. одинаковыми или различными.
Распространение в природе. Разнообразные фосфорорганические соединения содержатся в живых организмах, где выполняют ответственные биол. ф-ции. К ним, напр., относятся нуклеиновые кислоты, нуклеотиды, фосфаты моносахари-дов (напр., глюкозо-1- и глюко-зо-6-фосфаты), нуклеозидмоноцик-лофосфаты (напр., аденозинмоно-фосфат циклический), разл. типы фосфолипидов и др. К прир. фосфорорганическим соединениям также относят производные фосфоновых к-т - антибиотик фосфомицетин (II), фосфорные аналоги
и b-аминокарбоновых кислот и пептиды на их основе.

Физические свойства. Фосфорорганические соединения могут быть газами, жидкостями или твердыми в-вами. Для идентификации и изучения их св-в используют все осн. физ.-хим. методы, но в первую очередь -спектроскопию ЯMP31P. Величины хим. сдвигов определяются гл. обр. электроотрицательностями атомов, связанных с атомом P, и степенью обратного p-дативного взаимод. с ним. Сигналы ЯМР31Р располагаются в очень широкой области значений (неск. сотен м. д.) и проявляют при этом выраженную специфичность (рис.).
Химические свойства. 1. Таутомерия. Для гидрофос-форильных соединений и тиогидрофосфорильных соед. известен такой вид прототропии:

Как правило, равновесие сдвинуто в сторону формы А, однако при наличии сильных электроноакцепторных заместителей X и Y [напр., (CF3)2POH] - в сторону Б.
Циклич. средние фосфиты и амидофосфиты с протонодо-норной группой в боковой цепи могут частично или полностью превращаться в гидроспирофосфорановые формы:

Тиокислоты фосфора характеризуются особым видом прототропии:

Увеличение электроноакцепторных св-в заместителей X и Y приводит к накоплению формы Б. В химии фосфорорганических соединений известны и фосфотропные процессы, напр.:

Если радикалы R и R' одинаковые, то процесс является вырожденным.
Особый вид таутомерии (псевдовращение)характерен для фосфоранов, к-рые способны обменивать у атома P заместители, занимающие аксиальные и экваториальные положения:

Принцип псевдовращения широко используют для объяснения механизмов реакций фосфорорганических соединений.
Области хим. сдвигов 31P фосфорорг. соед. относительно 85%-ной H3PO4; производные двухкоординационного P характеризуются хим. сдвигами в очень сильных полях (до 450 мд.).


2. Диспропорционирование. Производные пяти-и особенно трехвалентного P, в молекулах к-рых атомы P связаны с разл. электроноакцепторными группами, склонны к межмол. обмену этими группами, напр.:

Диспропорционирование обычно катализируется к-тами. Наличие циклич. фрагментов в молекуле препятствует диспро-порционированию.
3. Фосфорилирование. С помощью фосфорорганических соединений, в молекулах к-рых атом P связан с электроноакцепторной (уходящей) группой, можно вводить фосфорный остаток в состав нукле-офилов (осуществлять (расформирование). В качестве уходящих групп обычно выступают галогениды, алкокси-, тиоал-коксигруппы и др., напр.:

К-ты также используют в качестве фосфорилирующих ср-в, однако, как правило, после предварит, активации, т. е. после превращения кислотного гидроксила в легкоуходящую группу, напр.:

Производные к-т с трехвалентным атомом P проявляют более высокую фосфорилирующую активность, чем производные к-т с пятивалентным атомом P.
4. Важнейшие р-ции производных трехвалентного P. Эти соед. легко окисляются, присоединяют атомы S, Se, Те, Hal, иминируются, алкилируются:

Если X = OAlk, SAlk, то первичный продукт взаимод. PX3 с RHal далее распадается с образованием фосфорильного (тиофосфорильного) соед. (Арбузова реакция):

При взаимод. средних фосфитов с a-галогенкарбонильны-ми соед. может происходить как р-ция Арбузова, так и иной процесс, приводящий к фосфовиниловым эфирам (Перкова реакция):

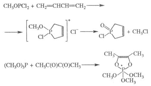
Многие производные трехвалентного P присоединяются к сопряженным диенам и другим
-сопряженным системам; образующиеся продукты могут выделяться как целевые в-ва либо без выделения вступать в дальнейшие превращения, напр.:

Соед. с трехвалентным атомом P легко образуют комплексы с производными переходных металлов, напр.:

5. Важнейшие р-ции производных пятивалентного P. Кислород фосфорильной группы в таких фосфорорганических соединениях заменяется на серу под действием P2S5. В молекулах третичных фосфиноксидов он элиминируется при восстановлении трихлорсиланом:

Сложные эфиры тионовых к-т при действии алкилгалоге-нидов или при нагр. претерпевают muoн-тиольную перегруппировку:

В большинстве фосфорильных соед. со связью С — P
-ме-тиленовые протоны фосфорильной группы подвижны, что приводит к их депротонированию при действии сильных оснований. Образующиеся карбанионы при взаимод. с альдегидами и кетонами образуют олефины (Корнера реакция):

Подобная р-ция происходит под действием фосфиналкиле-нов (Виттига реакция):

-Гидроксифосфонаты при нагр. в присут. оснований могут превращаться в фосфаты (фосфонатфосфатная перегруппировка):

Фосфорильные соед. образуют комплексы с разл. переходными и непереходными металлами с участием кислорода фосфорильной группы. Устойчивость комплексов обычно сильно возрастает при хелатировании металла.
Получение фосфорорганических соединений. Общий путь синтеза фосфорорганических соединений включает три последоват. стадии: 1) получение элементарного фосфора из минер. сырья; 2) превращение фосфора в неорг. производные (P4O10, PCl3, PCl5, POCl3); 3) получение фосфорорганических соединений взаимод. этих производных со спиртами, аминами, альдегидами, олефинами и др. Возможно также превращение фосфора в фосфорорганические соединения, минуя неорг. производные (напр., путем взаимод. элементарного P с алкилгалогенидами или спиртами).
Среди многочисленных способов синтеза конкретных фосфорорганических соединений (они приведены в статьях о группах соед.) выделяют методы, позволяющие получать соед. со связью С — P. Эти методы приведены ниже.
Фосфины и гидрофосфорильные (тиогидрофосфорильные) соед. в условиях гомолитич. р-ций легко присоединяются к олефинам с образованием связи C-P:

Эти же соед. в условиях гетеролитич. р-ций присоединяются по связям C = O, C = N, C = S, C = C с образованием разнообразных функционализир. фосфорорганических соединений:

При алкилировании и арилировании средних эфиров к-т трехвалентного P образуется новая связь C-P (р-ция Арбузова). Аналогично осуществляется р-ция с использованием металлич. солей гидрофосфорильных соед. (Михаэлиса - Бек-кера реакция):

Этот синтез целесообразно проводить в условиях межфазного катализа. Галогенангидриды орг. к-т фосфора образуются при присоединении PCl5 и родственных в-в к непредельным соед.:

Эта р-ция хорошо идет в случае использования виниловых эфиров.
При взаимод. алканов или алкенов с PCl3 и кислородом образуются сложные смеси в-в, осн. компонентами к-рых являются дихлорангидриды фосфоновых к-т (см. также Окисли-лительное хлорфосфонирование):

Ароматич. соед. легко фосфорилируются PCl3, P2S5 и др. электрофилами в условиях р-ции Фриделя - Крафтса:

Алкилгалогениды в присуг. к-т Льюиса алкилируют PCl3 с образованием связи C-P (Клея - Киннера - Перрена реакция):

При нагр. белого или красного P с арил- или алкилгалогенидами образуется смесь хлорфосфинов. Вариант этой р-ции, представляющий практич. значение,- алкилирование P в присут. иода.
Связь C-P образуется также при взаимод. галогенангид-ридов к-т фосфора с металлоорг. соед.; при этом один или неск. атомов галогена обмениваются на углеводородные радикалы:

В нек-рых случаях в эти р-ции нуклеоф. замещения по атому P вступают и эфиры к-т фосфора.
Применение. Фосфорорганические соединения широко используют в технике, с. х-ве и медицине. Многие из них в качестве комплексонов и экстрагентов применяются при получении цветных и редких металлов; для борьбы с коррозией и отложением солей в техн. водах; в качестве стабилизаторов и пластификаторов полимеров; в качестве мономеров для ионообменных и термостабильных полимеров, присадок для смазочных масел и гидравлич. жидкостей. Многие фосфорорганические соединения- лек. ср-ва, пестициды, фпотореагенты, ПАВ; нек-рые фосфаты и фосфины, в т.ч. обладающие оптич. активностью, применяют для получения металлокомплексных катализаторов. Среди фосфорорганических соединений имеются отравляющие вещества. См. также Фосфорсодержащие гете-роциклы.
Лит.: Кабачник М.И., Фосфорорганические вещества, M., 1967; Ни-фантьев Э.Е., Химия фосфорорганических соединений, M., 1971; Пурдела Д., Вылчану Р., Химия органических соединений фосфора, пер. с рум., M., 1972; Арбузов А.Е., Избранные труды по химии фосфорорганических соединений, M., 1976; Корбридж Д., Фосфор. Основы химии, биохимии, технологии, пер.с англ., M., 1982; Нифантьев Э.Е., Kухарева Т.С., Обзор монографий и обзоров по химии фосфорорганических соединений, M., 1989; S a s s е К., в кн.: Houben-Weyl, Methoden der organischen Cheniie, 4 Aufl., Bd 12/1, Bd 12/2, Stuttg., 1963-64; Organic phosphorus compounds, eds, G.M. Kosolapoff, L. Maier, v. 1-7, N.Y.- [a.o.], 1972-76; Dictionary of organo-phosphorus compounds, ed. R.S. Edmundson, L., 1988. Э.Е. Нифантьев.
P

