Фосфиналкилены
ФОСФИНАЛКИЛЕНЫ (алкилиденфосфораны, илиды фосфора, реактивы Виттига), соед. общей ф-лы R3P = CR1R2, где R = AIk, Ar; R1, R2 = H, AIk, Hal, COOR3 и др. Часто к фосфиналкиленам относят близкие по структуре соед. с R = Hal, OR', NR'2. Более точно строение фосфиналкиленов может быть описано резонансными структурами I и П (см. также Илиды):

Большинство фосфиналкиленов- кристаллич. соед. (табл.); раств. в орг. р-рителях, многие фосфиналкилены разлагаются водой. Фосфиналкилены- полярные (m 1,7 · 10-29-2,3 · 10-29 кл · м), сильноосновные в-ва (образуют соли с к-тами HHaI и комплексы с к-тами Льюиса). Порядок связи Р = С в молекуле с несопряженными связями ок. 1,3. В ИК спектре полоса поглощения связи P = C находится в области 900 см-1; в УФ спектре обычно наблюдаются две полосы поглощения (lмакс 265 и 340-400 нм). В спектре ЯМР хим. сдвиги 31P в области 0-80 м. д.
| СВОЙСТВА НЕКОТОРЫХ ФОСФИНАЛКИЛЕНОВ | |||
| Соединение | T. пл., 0C | T. кип., °С/мм рт. ст. | Хим. сдвиги в спектре ЯМР31Р (относительно 85%-нойН3РО4), м.д. |
| (CH3)3P = CH2 | 13-14 | 118-120/750 | 21 |
| (C4H9)3P = CH2 | — | 58/0,001 | 16 |
| Ph3P = CH2 | 96 | — | 20 |
| Ph3P = CHCN | 190 | — | 23 |
| (CH3)3P = CHSi(CH3)3 | -36 | 66/11 | 11 |
| (СН3)3Р = С[Si(CH3)3]2 | 14-18 | 60/1 | 0 |
| Ph3P = C = C = O | 173 | — | 2,6 |
| Ph3P = C = C = S | 225 | — | 7,7 |
Фосфиналкилены относительно устойчивы к нагреванию. Соед. с R = AIk перегоняются в вакууме, большинство фосфиналкиленов, стабилизированных сопряжением, разлагается лишь выше 200 0C. Фосфиналкилены сравнительно легко окисляются и гидролизуются, давая соответствующие фосфиноксиды;

При действии AlHn(OR)4_n (п= 1-4) фосфиналкилены восстанавливаются до соед. Р(III). Алкилгалогениды алкилируют фосфиналкилены по метиле-новому атому С.
Наиб. изучена р-ция фосфиналкиленов с карбонильными соед. (см. Виттига реакция), протекающая по схеме:

Фосфиналкилены активно взаимод. со многими др. соед., содержащими активированные кратные связи, напр.:

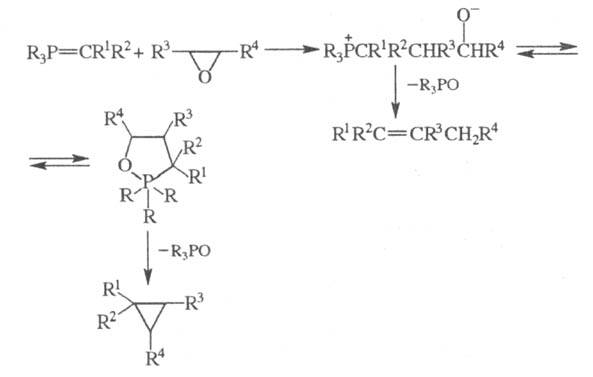
В р-циях фосфиналкиленов с оксиранами образуются производные циклопропана (наряду с олефинами):

Осн. метод получения фосфиналкиленов- разложение солей фосфония в присут. оснований В (щелочной металл, RLi, RONa, NaOH, NR3 и др.):

Др. методы получения:
1) присоединение карбенов к третичным фосфинам;
2) взаимод. галогенфосфоранов с соед., содержащими активную метиленовую группу, напр.:

3) р-ция фосфинов с соед. с активир. связью C = C.

Фосфиналкилены используют в препаративной практике для получения соед. сложного строения со связью C = C, напр. стероидов, каротиноидов.
Лит.: Коrбридж Д., Фосфор, пер. с англ., M., 1982, с. 219-29; Общая органическая химия, пер. с англ., т. 5, M., 1983, с. 108-29; Bestmann H., Zimmermann R., в кн.: Organic phosphorus compounds, v. 3, N. Y., 1972, p. 3-184; Trippett S., в кн.: Organophosphorus chemistry, v. 3, L., 1972, p. 150. Г. И. Дрозд.