N-Метилпирролидон
N-МЕТИЛПИРРОЛИДОН (1-метил-2-пирролидон; N-ме-тил-g-бутиролактам), мол. м. 99,13; бесцв. жидкость; т.пл. -24°С, т.кип. 206 °С; 82-84 °С/10 мм рт.ст.; d204 1,0328; nD20 1,4684; легко раств. в воде, спиртах, ацетоне, бензоле, ксилоле. По хим. св-вам - типичный представитель N-алкилированных лактамов. В нейтральных средах лактамное кольцо устойчиво, в водных р-рах NaOH или в конц. НСl гидролизуется в g-(N-метил-амино)масляную к-ту. Обладает слабыми основными св-вами, образует гидрохлорид с т.пл. 80-88 °С; конденсируется в присут. этилата Na с низшими алкиловыми эфирами никотиновой к-ты, образуя (2-оксо-1-метил-3-пир-ролидинил)-3-пиридилкетон:


Качественная р-ция на N-метилпирролидон-образование с PtCl4 в кислой среде оранжевых кристаллов с т.пл. 100°С (безводные кристаллы имеют т.пл. 110°С).
Методы синтеза N-метилпирролидона. 1) Взаимод. g-бутиролактона с метиламином при 200-250 °С, 4-20 МПа в присут. катализатора (Аl2О3, цеолиты) или без него (пром. способ):

2) Метилирование Na-соли пирролидона с помощью СН3I или (CH3)2SO4 в бензоле:

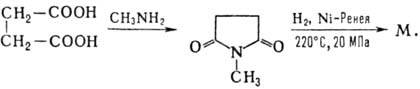
3) Взаимод. янтарной к-ты с CH3NH2 с послед. каталитич. (Ni-Ренея, Со, Pd, Re) или электрохим. восстановлением, напр.:

N-Метилпирролидон-р-ритель углеводородов нефти, синтетич. смол и др. орг. соед.; осветлитель нефтяных смазочных масел и смол, керосина, вазелина, парафина; осадитель в произ-ве по-ливинилхлоридного волокна; диспергирующее ср-во для минер. и орг. пигментов в произ-ве лаков и в процессе крашения.
N-Метилпирролидон малотоксичен; не обладает коррелирующим действием.
Исп. литература для статьи «N-МЕТИЛПИРРОЛИДОН»: Хейфец В. И., Пивоненкова Л. П., Любимова Т. Б., Альфа-пир-ролидон, М., 1976, с. 30-34. М. А. Юровская.