Мочевая кислота
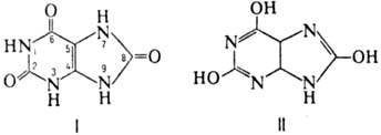
МОЧЕВАЯ КИСЛОТА (пурин-2,6,8-трион), ф-ла I, мол. м. 168,12; бесцв. кристаллы; т.разл. 400 °С; DH0cгор -1919 кДж/моль; плохо раств. в воде, этаноле, диэтиловом эфире, раств. в разб. р-рах щелочей, горячей H2SO4, глицерине. В р-ре существует в таутомерном равновесии с гидроксифор-мой (ф-ла II), при этом преобладает оксо-форма.

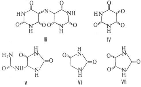
Мочевая кислота-двухосновная к-та (рКа 5,75 и 10,3), образует кислые и средние соли (ураты). Под действием едких щелочей и конц. к-т разлагается на НСl, NH3, CO2 и глицин. Легко алкилируется сначала по N-9, затем по N-3 и N-1. В гидроксиформе вступает в р-ции нуклеоф. замещения; напр., с РОСl3 образует 2,6,8-трихлорпурин. Состав продуктов окисления мочевой кислоты зависит от условий р-ции; под действием HNO3 образуются аллоксантин (III) и аллоксан (IV), при окислении нейтральным или щелочным р-ром КМnО4, а также р-рами РbО2 и Н2О2- сначала аллантоин (V), затем гидантоин (VI) и парабановая к-та (VII). Аллоксантин с NH, дает мурексид, к-рый используют для идентификации мочевой кислоты.

Мочевая кислота-продукт азотистого обмена в организме животных и человека. Содержится в тканях (мозг, печень, кровь) и поте млекопитающих. Нормальное содержание в 100 мл крови человека 2-6 мг. Мононатриевая соль-составная часть камней мочевого пузыря. Высохшие экскременты птиц (гуано) содержат до 25% мочевой кислоты и служат источником ее получения. Методы синтеза: 1) конденсация урамила (аминобарбиту-ровой к-ты) с изоцианатами, изотиоцианатами или ци-анатом К через образование псевдомочевой к-ты (VIII), напр.:

2) конденсация мочевины с цианоуксусным эфиром с послед. изомеризацией образующейся цианоацетилмочевины в ура-мил, из к-рого по первому способу получают мочевую кислоту.
Мочевая кислота-исходное в-во для получения аллантоина, аллокса-на, парабановой к-ты, кофеина; компонент косметич. кремов; ингибитор коррозии; агент, способствующий равномерному прокрашиванию волокон и тканей.
Исп. литература для статьи «МОЧЕВАЯ КИСЛОТА»: Иванский В. И., Химия гетероциклических соединений, М., 1978, с. 432-34; Гауптман 3., Грефе Ю., Ремане X., Органическая химия, пер. с нем., М., 1979, с. 601-02; Kirk-Othmer encyclopedia, 3 ed., v. 23, N.Y., 1983, p. 608-13. И. В. Хвостов.