Асимметрический атом
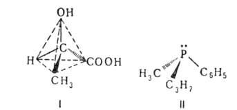
АСИММЕТРИЧЕСКИЙ АТОМ, атом углерода, связанный с четырьмя разл. заместителями, расположенными в вершинах тетраэдра (ф-ла I).
Асимметрическими м. б. атомы и др. элементов, напр. Si, N, Р, As. Роль одного из заместителей может играть своб. электронная пара, напр. у атома Р в фосфинах (II). Наличие асимметрического атома в молекуле - наиб. частая причина ее хиральности, а следовательно, и оптической активности. Молекулы, в к-рых содержится асимметрический атом в кол-ве и, могут существовать в виде 2n пространств. изомеров, молекулы с одним асимметрическим атомом - в виде пары оптич. изомеров - энантиомеров. См. также Изомерия.
Ещё по теме
Асимметрический атом углерода
Асимметрические молекулы — понятие и особенности
Симметрия в химии — ключевые аспекты и приложения
Асимметрический синтез — получение оптически деятельных веществ
Асимметрические атомы и стереоизомерия
Стереохимическая теория и пространственная изомерия
Изомерия в химии — виды, примеры и роль в науке и жизни
Орбитали в квантовой химии — типы и роль в химических реакциях
Молекулы — строение, свойства и роль в науке
Атом
Симметрия молекул — основные понятия и проявления
Изомерия в химии — виды и значение
Молекулярные спектры — структура и применение