Брюстера метод
БРЮСТЕРА МЕТОД, применяется для расчета знака и величины вращения плоскости поляризации света орг. соединениями. В основе метода лежит представление о молекуле как о спиральном проводнике, по к-рому перемещаются электроны; эта модель учитывает длины связей и поляризуемость групп. Оптич. активность представляют как сумму вкладов "атомной"
(
-длина волны света) и "конформационнои"
асимметрии.
обусловлена наличием в молекуле асимметрии, атома, связанного с группами разл. поляризуемости. Согласно эмпирич. правилу, асимметрич. атом с конфигурацией, показанной ф-лой I, обусловливает вращение плоскости поляризации вправо, если поляризуемость заместителей падает в ряду А > В > С > D. Правило справедливо для соединений, в которых асимметрич. атом не является частью кольца или к.-л. закрепленной структуры.
Вклад
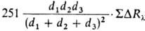
возникает, когда асимметрич. атом является частью цепи, рассматриваемой как участок спирали. Элементарный фрагмент молекулы (ф-ла II), обладающий конформационной асимметрией, - скошенное конформационное звено из связей А—С1, С1—С2, С2—В с длинами соотв. d1, d2 и d3; А и В-концевые заместители звена. С, и С2- асимметрич. атомы. При этом: 
,
где
- сумма рефракций связей и групп. Оптич. вращение одного конформера равно алгебраич. сумме вкладов всех шести скошенных звеньев АВ, BE, ED, DF, FK, KA, а вращение в-ва в целом равно сумме вкладов всех конформеров:
, где a1, а2 и а3 - доли в конформа-ционном равновесии конформеров 1, 2 и 3. Для учета влияния среды в правую часть ур-ния вводят множитель f(n) = (n2 + 2)2/9n, где n-коэф. преломления среды.
Используя Брюстера метод, можно рассчитать знак и величину оптич. вращения в-ва, если известны его конфигурация и конформационный состав, а на основе измеренного вращения и рассчитанных величин вращения отдельных конформеров определить конформационный состав в-ва. Метод предложен Дж. Брюстером в 1959. в. м. Демьянович.