Витамин B12

12"> 12">

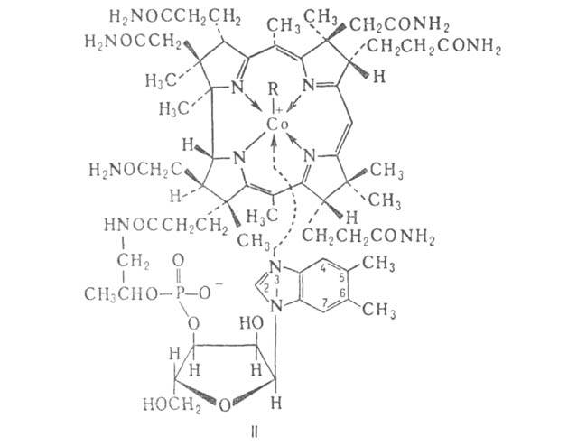
ВИТАМИН В12 (кобаламины), группа соед. - производных коррина (ф-ла I), предотвращающих развитие злокачеств. анемии и дегенеративные изменения нервной ткани. Механизм действия таких соед. (витамеров) связан с участием их коферментных форм (кобамидных коферментов) в ферментативных р-циях.

Оксикобаламин (II, R = ОН) - фиолетово-красные кристаллы; т. пл. 300°С (с разл.);1075-7.jpg от — 15 до -20°;1075-8.jpg270-277, 352, 500 и 530 нм. Одна из основных форм витамина В12, в виде к-рой он транспортируется белками крови (транскобаламином II и кобалофилинами) и депонируется в организме. Легко превращ. в др. формы витамина В12.

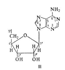
5'-Дезоксиаденозилкобаламин [1075-9.jpg , кофермент В12; ф-ла II, R - 5-дизоксиаденозил (III)] - красные кристаллы;1075-10.jpg 260, 315, 340, 375 и 522 нм. Коферментная форма витамина В12. Необходим для функционирования метилмалонил-КоА-мутазы, катализирующей изомеризацию метилмалоновой к-ты в янтарную. Эта р-ция - заключит. этап при окислении жирных к-т с нечетным числом атомов углерода или с разветвленной структурой, боковой цепочки холестерина, углеродного скелета нек-рых1075-12.jpgаминокислот (напр., валина, треонина).
1075-11.jpg

Метилкобаламин (СН312; ф-ла II, R = СН3) - в организме находится в меньших кол-вах, чем др. прир. формы витамина В12. Выполняет ф-ции кофермента 5-метилтетрагидроптероил-L-глутамат : L - гомоцистеин - S - метилтрансферазы, катализирующей ресинтез метионина из гомоцистеина путем переноса на него метильной группы от N5-метилтетрагидрофолиевой к-ты.
1075-13.jpg

Цианокобаламин (II, R = CN) - лек. форма витамина В12, не встречающаяся в природе. Кристаллич. в-во рубиново-красного цвета; мол. м. 1355,5, выше 200°С постепенно разлагается, не плавясь до 320 °С;1075-14.jpg —59,9°; раств. в воде (1,25% при 25 °С), низших спиртах и алифатич. к-тах, феноле, ДМСО, не раств. в др. орг. р-рителях;1075-15.jpg278, 361, 525, 550 нм. Группа CN и остаток 5,6-диметилбензимидазолилриботида занимает в молекуле аксиальное положение по отношению к корриновому циклу. Цианокобаламин разрушается под действием окислителей, восстановителей и света. Его водные р-ры устойчивы при рН 4,0-7,0. Группа CN легко замещается др. лигандами, напр. ОН, NO2, SO3, СН3. Образующиеся производные под действием иона CN- вновь превращ. в Цианокобаламин. Применяют этот витамер для лечения нек-рых видов злокачеств. малокровия, разл. заболеваний печени, лучевой болезни и др. Суточная потребность взрослого человека 1-2 мкг. Его полный хим. синтез был осуществлен Р. Вудвордом в 1972. Витамеры В12 синтезируются почти исключительно микроорганизмами, особенно актиномицетами и синезе-леными водорослями. Они найдены практически во всех животных тканях; наиб. богаты ими печень, почки и яичный желток.

Человек и животные обычно обеспечивают себя витамином В12 в результате потребления продуктов питания животного происхождения и продуцирования его микрофлорой пищеварит. тракта. Его пром. произ-во основано на микробиол. синтезе с использованием пропионовокислых и метанообразующих бактерий, способных продуцировать до 3 мг витамина на 1 л ферментативной среды.
1075-16.jpg

В прир. источниках встречаются т. наз. псевдовитамины В12, к-рые вместо 5,6-диметилбензимидазола содержат в молекуле др. пуриновые основания (аденин, 2-метиладенин или их дезаминированные производные). Эти в-ва-ростовые факторы для нек-рых микроорганизмов. Они не обладают витаминной активностью для человека и животных.

Литература

Березовский В. М., Химия витаминов, 2 изд., М., 1973; ПознанскаяА.А., в кн.: Витамины, М., 1974, с. 264-301; Арешкина Л.Я., Витамин B12 в животном организме, М., 1976; Воробьева Л. И., Пропионовокислые бактерии и образование витамина B12, М., 1976; Хил л X. А. О., в кн.: Неорганическая биохимия, пер. с англ., М., 1978, т. 2, с. 523-98; Pratt J. М., Inorganic chemistry of vitamin B12, L.-N.Y., 1972; Friedrich W., Vitamin B12 und verwandte Corrinoide, Stuttg., 1975; Hogenkamp H.P.C., в кн.: Cobalamin, N.Y., 1975, p. 21-73; Vitamin B12, ed. by B. Zagalak, W. Friedrich, В., 1979; B12, ed. by D. Dolphin, v. 1-2, N.Y, 1981 А. А. Познанская.

Синонимы/примеры:* Цианокобаламин; Кобаламин; Цианокобаламин
*подобраны ИИ, возможны неточности