Высокоэластическое состояние

ВЫСОКОЭЛАСТИЧЕСКОЕ СОСТОЯНИЕ, состояние, в к-ром полимеры обладают способностью к большим обратимым деформациям (до неск. десятков, сотен и более процентов). В высокоэластическое состояние могут переходить все гибкоцепные линейные полимеры с достаточно большой молекулярной массой и пространственно структурированные (сетчатые) полимеры при нагр. их выше т-ры стеклования.

Верх. температурная граница определяется т-рой разложения для сетчатых полимеров и т-рой текучести для линейных. Полимеры, находящиеся в высокоэластическом состоянии в широком интервале т-р, соответствующем условиям их эксплуатации, наз. эластомерами. Типичные представители эластомеров - натуральный и синтетич. каучуки, а также резины на их основе.

В отличие от твердых кристаллич. тел деформация полимеров в высокоэластическом состоянии связана не с изменением межатомных или межмол. расстояний, а с частичным развертыванием хаотически свернутых цепных молекул, что и обусловливает возможность больших деформаций. При этом возвращающая сила f вызывается не силами притяжения между молекулами деформируемого тела, а тепловым движением, к-рое по своей интенсивности такое же, как тепловое движение молекул в жидкостях. Т. обр. упругость полимеров в высокоэластическом состоянии имеет энтропийную природу подобно объемной упругости газов. Поэтому модуль упругости полимеров в высокоэластическом состоянии пропорционален абс. т-ре Т и имеет низкие значения (0,1-10 МПа), тогда как модуль всестороннего сжатия, определяемый силами межмол. взаимодействия, типичен для кон-денсиров. сред (103 МПа). Вследствие этого деформация эластомеров практически не сопровождается изменением объема, и связанное с этим изменение внутр. энергии U ничтожно. Наблюдаемые на опыте изменения U при деформации эластомеров связаны с изменением набора энергетически неравноценных конформац. изомеров (см. Конформационнып анализ)при развертывании цепей. В зависимости от разности энергетич. уровней транс- и гош-конформеров изменение внутр. энергии при деформации1087-1.jpg и соответствующая ему составляющая возвращающей силы fe = (dV/dl)V,T ("энергетич. сила") м. б. как положительными, так и отрицательными (l-длина образца, V-его объем). Ниже приведены значения fe/f для нек-рых полимеров:
1087-2.jpg

В высокоэластическом состоянии напряжение и деформация1087-3.jpgпри циклич. нагружении сдвинуты по фазе, и наблюдается сильная зависимость деформации, развивающейся в эластомере, от длительности приложения нагрузки или напряжения от времени выдержки образца в деформиров. состоянии. Особенно резко эти зависимости выражены при т-рах, близких к т-рам стеклования и текучести. В сетчатых этастомерах через достаточно длит. время устанавливается упругое равновесие, т. е. / и1087-4.jpg перестают изменяться со временем.

В 40-х гг. В. Куном, П. Флори и др. была развита теория (именуемая теперь классической) равновесных упругих св-в сетчатых эластомеров, основывающаяся на модели сетки из бестелесных цепей, способных свободно проходить друг сквозь друга ("теневые", или "фантомные", цепи). Согласно этой теории, / при растяжении образца в1087-5.jpg раз равно:
1087-6.jpg

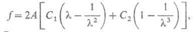
где A-площадь поперечного сечения образца, v-число цепей (отрезков молекулы между ближайшими поперечными сшивками) в единице объема, k-постоянная Больцмана,1087-7.jpg -средний квадрат расстояний между концами цепей в недеформиров. сетке,1087-8.jpg -средний квадрат расстояний между концами тех же цепей в своб. состоянии. Ур-ние (1) оправдывается на опыте только для сильно набухших резин. В отсутствие р-рителя f при одноосном растяжении хорошо описывается след. ф-лой:
1087-9.jpg

где С1 и С2-эмпирич. постоянные.

Для описания др. типов деформации эта ф-ла непригодна. Зависимости С1 и С2 от разл. факторов являлись предметом мн. исследований. Так, было показано, что C1 м. б. отождествлено с коэф. упругости в ур-нии (1). Тогда, полагая1087-10.jpg , получаем: C1 = vkT/2. Эта ф-ла - одно из осн. соотношений для расчета v из эксперим. данных. Для эластомеров с редкой сеткой величина С2/С, больше единицы, для густых сеток - меньше единицы. Обе константы возрастают с т-рой приблизительно пропорционально Т. При равных С1 сетки из цепей с более массивными боковыми привесками имеют меньшие С2.

Предпринимались попытки объяснить наблюдаемые отклонения от классич. теории на основе разл. физ. предпосылок. Но все они, как и разл. феноменологич. теории, не получили широкого распространения. Отклонения от классич. теории, как считает большинство исследователей, связаны с тем, что в ней не учитываются ограничения числа возможных конформаций цепей, возникающие вследствие их взаимной непроницаемости. Многочисл. теории, построенные на этой предпосылке, удовлетворительно описывают деформац. зависимости разл. типов.

Литература

Волькснштейн М.В., Конфигурационная статистика полимерных цепей, М.-Л., 1959; Бирштейн Т.М., Птицын О.Б., Конформаций макромолекул, М., 1964; Treloar L.R.Y., The physics of rubber elasticity, 3 ed., Oxf., 1975. Л. С. Лрисе.