Реология
РЕОЛОГИЯ (от греч. rheos-течение, поток и logos-слово, учение), наука, изучающая деформац. св-ва реальных тел. Реология рассматривает действующие на тело мех. напряжения и вызываемые ими деформации, как обратимые, так и необратимые (остаточные). В узком смысле-термин "реология" иногда относят только к изучению течения вязких и пластичных тел. Объектами реологии являются самые разнообразные материалы: полимеры (расплавы, р-ры, армированные и наполненные композиц. материалы, резины), дисперсные системы (пены, эмульсии, суспензии, порошки, пасты), металлы и сплавы (особенно при высоких т-рах), нефтепродукты, грунты, гор-ные породы, строит. материалы (бетоны, битумы, силикаты), пищ. продукты и т.п. Биореология изучает механические св-ва биологических жидкостей (крови, синовиальной, плевральной жидкостей) и деформац. св-ва мышц, сосудов и пр.
Термин "реология" предложен Ю. Бингамом; официально принят в 1929.
Осн. задача реологии-установление зависимости между мех. напряжениями s и деформациями e, а также их изменениями во времени t; ур-ние f(s, e, t) = 0 наз. реологич. ур-нием состояния (РУС). Знание РУС необходимо для решения гидродинамич. задач, а также для количеств. описания поведения техн. материалов при произвольных условиях нагружения. Осн. внимание уделяется таким условиям нагружения, когда одновременно проявляются вязкие и пластич. или вязкие и упругие св-ва в-ва. Реология также рассматривает задачу установления соответствия между особенностями деформац. поведения конкретного материала и его структурой.
Простейшие (предельные) РУС-линейные соотношения между деформацией (или скоростью деформации) и напряжением. Для твердых тел это-закон Гука s = Ee, где s-нормальное (растягивающее) напряжение, e-относит. деформация растяжения, Е- модуль упругости; для жидкостей-закон Ньютона-Стокса
, где т-касательное напряжение,
-скорость деформации сдвига, h-сдвиговая вязкость. Соотв. определяют два крайних по своему деформац. поведению типа сред-упругое тело, при деформировании к-рого не происходит диссипации (рассеяния) энергии, и жидкость, не способная запасать энергию деформирования.
Существуют три осн. реологич. модели для тел, не подчиняющихся этим соотношениям: вязкоупругие (и упруговяз-кие) среды, пластичные тела и неньютоновские жидкости. Реальные материалы могут сочетать мех. св-ва, характерные для разл. моделей. При достаточно малых напряжениях, деформациях или скорости деформирования все РУС линейны, но при возрастании деформаций или напряжений мех. поведение тела становится более сложным и описывается нелинейными РУС. Соотв. различают линейные и нелинейные тела (среды, материалы).
Вязкоупругость (и yпpyговязкость). Для линейной вязко-упругой жидкости напряжение s0, возникающее при задании ступенчатой деформации e = const, убывает (релаксирует) до нуля по закону: s = s0f(t), где f(t)-т. наз. ф-ция релаксации, не зависящая от s0. В простейшем случае f(t) = = е-t/q, где q-время релаксации. Жидкость, ф-ция релаксации к-рой выражается одним экспоненц. слагаемым, наз. максвелловской. В общем случае f(t) м. б. представлена суммой экспонент, что равнозначно существованию набора (спектра) времен релаксации. Релаксацию напряжения иногда описывают ур-нием Кольрауша:
, где k и n-эмпирич. постоянные. Такой подход применяют для резиновых смесей, р-ров полимеров, лакокрасочных материалов и др.
Для линейного упруговязкого Твердого тела при скачкообразном задании напряжения s = const деформация изменяется во времени по закону: e = e0y(t), где e0-начальная деформация, а y(t)-т. наз. ф-ция ползучести (ф-ция крипа), не зависящая от s. В простейшем случае y(t) = 1 — — е-t/l, где l-время запаздывания; в общем случае y(t) выражается суммой экспоненц. слагаемых. Твердое тело, свойства к-рого описываются реологич. моделью с одним временем запаздывания, наз. телом Кельвина-Фойхта.
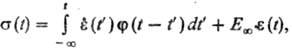
Для сложного процесса мех. воздействия в области линейного поведения тела, т.е. когда f(t) не зависит от e, а y(t)-от s, справедлив принцип суперпозиции Больцмана, согласно к-рому реакция тела на любое последующее на гружение не зависит от действия всех предшествующих нагрузок. Математически этот принцип выражается РУС в виде интеграла Больцмана-Вольтерры:

где Е,-равновесный (остаточный) модуль упругости (для жидкости Е, = 0),
-скорость относит. деформации. Для нелинейных вязкоупругих сред, т. е. когда s перестает быть пропорциональным e, принцип суперпозиции Больцмана не применим. Возможны различные способы его обобщения. Так, значение s(t) м. б. представлено функционалом от скорости нагружения, т-ры и др. характеристик предыстории нагружения, т.е. d определяется процессом изменения этих характеристик. Разложение функционала в ряд дает сумму интегралов в интервале времени (0, t), ядра интегралов выражают деформац. св-ва материала. Такой подход применяют при расчетах композиц. материалов (стеклопластиков и др.). Согласно др. подходу, релаксац. спектр тела (среды) предполагается зависящим от e,
или s. Так, ур-ние Александрова-Гуревича основано на предположении, согласно к-рому q=q0е-as, где q0-значение q при s = О, a-эмпирич. постоянная.
При сдвиговом течении вязкоупругих жидкостей кроме обычных необратимых деформаций вязкого течения накапливаются и сохраняются в потоке большие упругие (высоко-эластич.) деформации. Это приводит к возникновению дополнит. напряжений (помимо сдвиговых), перпендикулярных плоскости сдвига (т. наз. нормальные напряжения). Из-за нормальных напряжений наблюдается ряд реологич. аномалии, объединяемых общим назв. эффекта Вайсен-берга: подъем вязкоупругой жидкости по стержню, вращающемуся в вязкоупругой среде; появление силы, стремящейся раздвинуть два параллельно расположенных диска, вращающихся в вязкоупругой жидкости, и др. Эти явления характерны для расплавов и р-ров полимеров.
Появление нормальных напряжений при сдвиговом течении вязкоупругих жидкостей-простейший случай нелинейного вязкоупругого поведения жидкостей. При низких скоростях сдвига нормальные напряжения пропорциональны g2, поэтому их появление наз. "эффектом второго порядка". При высоких напряжениях и скоростях сдвига нелинейность поведения проявляется сильнее: нормальные напряжения растут с увеличением
слабее, чем
, а касательные напряжения перестают быть пропорциональными
, т.е. перестает соблюдаться закон Ньютона-Стокса. При изменении режима деформирования проявляются релаксац. св-ва вязкоупругих жидкостей. Так, струя, образующая полимерное волокно, после выхода из канала (фильеры) разбухает; при выходе из формующей головки экструде-ра сложнопрофильные изделия претерпевают искажения формы.
Хотя реологич. св-ва жидкостей наиб. часто измеряют в условиях сдвигового течения, для высоковязких жидкостей теоретич. и практич. интерес представляет также одноосное (продольное) растяжение. Для ньютоновских жидкостей вязкость при растяжении равна 3h (закон Трутона); для вязкоупругих жидкостей она может значительно отличаться от 3h, что также связано с нелинейностью вязкоупругих св-в.
Принципиальная особенность реологич. св-в вязкоупругих жидкостей - возникновение при больших
неустойчивости потока и разрывов сплошности. В общем случае режим течения определяется соотношением характерного времени деформирования
и "внутреннего" характерного времени структурных изменений d. Величина
может служить для оценки скорости процесса перестройки структуры жидкости, разрушенной деформированием; в частности, она отражает процесс релаксации. При
1 вязкоупругая среда становится твердообразной. Вследствие этого поток становится неустойчивым; возникает эластич. турбулентность-неустойчивое течение, вызванное нерегулярным накоплением и сбросом упругих деформаций. Материал может отрываться от граничной твердой стенки канала (напр., фильеры при формовании волокон) или в материале возникают периодич. колебания (по всему объему или в поверхностной зоне), что приводит, напр., к появлению матовости (ухудшению прозрачности) экструдируемой пленки; наконец, материал может разрываться подобно тому, как рвется любой твердый материал, когда напряжение превысит предел прочности.
В жидких дисперсных системах, особенно высоконаполненных твердой фазой, разрывы сплошности возникают при относительно низком значении скорости сдвиговой деформации. Появление разрывов сплошности исключает возможность построения для таких систем полной реологич. кривой течения (см. ниже), а также служит главным препятствием для получения однородных многокомпонентных систем, напр. при перемешивании.
Реология вязкоупругих полимеров рассматривает также явления, связанные с релаксационными и фазовыми переходами, вызванными процессом деформирования. К явлениям этого типа относится описанный выше переход жидкости в твердообразное состояние при
1. При очень больших скоростях деформирования может происходить стеклование полимера с последующим хрупким разрушением. Деформирование концентрир. р-ров полимеров влияет на их кристаллизацию, изменяя как равновесную т-ру фазового перехода, так и его кинетику, а также структуру (и, следовательно, св-ва) кристаллич. в-ва.
Пластичность. Различают упругопластичные тела и вязко-пластичные среды. Упругопластичные тела деформируются в соответствии с законом Гука вплоть до достижения нек-рых критич. условий (предела текучести); затем материал "течет" подобно вязкой жидкости, т.е. деформация линейно возрастает во времени (модель Сен-Венана). Для сложнонапряженного состояния в качестве предела текучести принимают критич. значение максимального касательного напряжения (критерий Треска-Сен-Венана) или интенсивности касательных напряжений (критерий Мизе-са). Важнейшими материалами, реологич. поведение к-рых описывается моделью упругопластич. тела, являются мн. конструкц. материалы, в т.ч. металлы при напряжениях, превышающих предел текучести. Пластич. деформации упругих тел реализуются при нек-рых технол. операциях-штамповке, ковке, прокатке металлов.
Вязкопластичная среда-модель тела, к-рое вообще не деформируется до достижения нек-рого критич. напряжения-предела текучести т0, а затем течет как вязкая жидкость. Такими св-вами обладают, напр., консистентные смазки, краски и др. Простейшее РУС для таких сред при т > т0 выражается ф-лой Шведова-Бингама: т=т0 + +
, где hБ-т. наз. бингамовская вязкость. В др. приближении РУС вязкопластичной среды имеет вид:
= 0 при т < т0 и т —
при т > т0.
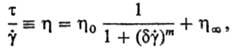
Неньютоновские жидкости. Если в условиях установившегося сдвигового течения касательное напряжение т не пропорционально скорости деформирования
, т.е. их отношение h =
изменяется в зависимости от величины т или
, то такую жидкость наз. неньютоновской, а отношение
-эффективной (или кажущейся) вязкостью. Предложено неск. РУС для описания поведения неньютоновских жидкостей. Во мн. случаях выполняется РУС вида:

где величины h0 и h,
h0-наибольшая и наименьшая ньютоновские вязкости, d и m-эмпирич. постоянные.
При
1 h ! h0 = const; это-т. наз. область ньютоновского течения; при
1 жидкость обладает ньютоновскими св-вами. РУС, включающее и h0, и h,, наз. полной реологич. кривой течения. Для расплавов полимеров, мн. коллоидных жидкостей (золей, микроэмульсий) в широком диапазоне скоростей сдвига выполняется закон Ост-вальда-ДеВилла:
, такую неньютоновскую жидкость наз. "степенной". Для нее получены решения мн. гидродинамич. задач.
Неньютоновское поведение жидкостей может иметь разл. причины: в жидких дисперсных системах определяющую роль играет ориентация частиц дисперсной фазы, изменение их формы и степени агрегации, в коллоидных жидкостях-постепенно углубляющееся с ростом напряжений разрушение (или изменение) внутр. структуры; в полимерах-эффекты мех. релаксации. В конкретных случаях может иметь место наложение разл. механизмов; напр., неньютоновское поведение наполненных полимеров связано как со структурными перестройками, так и с релаксац. явлениями.
Для мн. неньютоновских жидкостей характерны такие явления, как тиксотропия - обратимое уменьшение вязкости ("разжижение") жидкости или структурир системы во времени, и дилатансия-рост вязкости предельно наполненных дисперсных систем с вязкой дисперсионной средой. Частный случай неньютоновского поведения жидкости-изменение вязкости с течением времени из-за протекающих в среде хим. р-ций. Если р-ция идет в гомог. среде, изменение вязкости среды отражает изменение ее состава; при этом деформирование обычно не влияет на кинетич. закономерности р-ции. Однако для гетерог. р-ций, напр. гетерог. полимеризации или отверждения олигомеров, деформирование (напр., сдвиговое течение в реакторе или воздействие ультразвуковыми колебаниями) влияет на кинетику р-ции.
Вязкость жидкостей может зависеть от вибрационных (в т.ч. ультразвуковых), электрич., магн., световых воздействий; это относится как к р-рам и расплавам полимеров, так и к дисперсным системам.
Практическое применение реологич. исследований связано, во-первых, с возможностью сопоставлять разл. материалы по форме РУС и значениям входящих в них констант; во-вторых, с использованием РУС для решения техн. задач механики сплошных сред. Первое направление используется для стандартизации техн. материалов, контроля и регулирования технол. процессов практически во всех областях совр. техники. В рамках второго направления рассматривают прикладные гидродинамич. задачи-транспорт неньютоновских жидкостей по трубопроводам, течение полимеров, пищ. продуктов, строит. материалов в перерабатывающем оборудовании, движение буровых р-ров в пластах и т.д. Для концентрир. дисперсных систем к этим задачам примыкает установление оптим. технол. режимов перемешивания, формования изделий и т. п. Для твердых тел производят расчет напряженно-деформированного состояния конструктивных элементов и изделий в целом для определения их прочности, разрывного удлинения и долговечности.
Практич. интерес представляет также использование специфич. реологич. эффектов. Так, малые полимерные добавки к воде и нефтепродуктам придают жидкости новые реологич. св-ва, благодаря чему резко снижается гидравлич. сопротивление при турбулентном течении (эффект Томса). Этот эффект используют при перекачке нефтей по длинным трубопроводам. При переработке пластмасс применяют бесшнековые экструдеры, давление в к-рых развивается благодаря эффекту Вайсенберга. Добавление в смазочные масла полимерных модификаторов придает им вязкоупру-гие св-ва; в результате при сдвиге возникают нормальные напряжения и повышается несущая способность опор трения.
Реология полимеров. Все полимерные материалы в той или иной степени обладают как упругими, так и диссипативны-ми св-вами, вследствие чего они являются вязкоупругими телами или упруговязкими средами. Реологич. характеристики конкретного полимера зависят от строения его макромолекул, молекулярно-массового распределения, состава композиции в случае сложных полимерных систем, причем иногда чувствительность реологич. методов изучения молекулярной и надмолекулярной структур оказывается гораздо выше, чем традиц. методов оценки мол. параметров. Это выделяет реологию полимеров в один из важных разделов физ.-хим. исследований.
Установлены эмпирич. зависимости между характеристич. вязкостью [h] предельно разб. р-ров и мол. массой М: [h] = КМа, где К и a-эмпирич. постоянные (ф-ла Марка-Куна-Хувинка). По мере увеличения жесткости цепи а возрастает от 0,5 до 1,7. Для концентрир. р-ров и расплавов вязкость h также связана с М степенной ф-лой: h = K'Мa, причем a обычно равна 3,5, а эмпирич. постоянная К' изменяется с т-рой (подробнее см. Молекулярная масса полимера, Растворы полимеров).
Возникающие при деформировании полимеров нормальные напряжения (как эффект второго порядка) пропорциональны М2a. Важное практич. значение имеют температурные и концентрационные зависимости вязкости р-ров полимеров. Релаксац. св-ва р-ров полимеров в сильной степени зависят от т-ры, поскольку движения тех или иных элементов полимерной цепи проявляются (возникают, фиксируются) в определенном диапазоне т-р. Результаты измерений температурных зависимостей времен релаксации или связанных с ними мех. характеристик позволяют судить о природе мол. движений (метод релаксац. спектроскопии). Как правило, существует неск. групп времен релаксации, внутри каждой из к-рых температурные зависимости времен релаксации одинаковы. Поэтому вязкоупругие характеристики в широком температурном диапазоне оказываются подобными по форме, но сдвинутыми по временной (или частотной) оси, так что они м.б. обобщены в единую температур-но-инвариантную характеристику вязкоупругого поведения материала. Этот вывод наз. принципом температурно-временной или температурно-частотной суперпозиции.
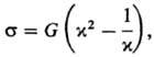
Реология эластомеров и твердых полимерных материалов основывается на выражении для упругой энергии W, накапливаемой материалом при его деформировании, к-рая выражается через инварианты тензора деформации. Исходя из выражения для W находят зависимость напряжения s от деформации e (или степени растяжения к) для любых геом. схем нагружения. Если предполагается чисто энтропийный механизм высокоэластичности (см. Высокоэластическое состояние), зависимость s(к) для одноосного растяжения имеет вид:

где G- модуль высокоэластичности (при сдвиге).
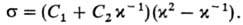
В реологии резин часто используют т. наз. двучленную (двух-константную) ф-лу, к-рая для одноосного растяжения включает эмпирич. постоянные С1 и С2:

Для наполненных эластомеров проявляются реологич. эффекты, обусловленные внутр. структурой наполнителя. Так же, как и для текучих сред, в резинах наблюдаются тиксо-тропные явления, состоящие в том, что при повторных нагружениях деформац. кривые меняются и постепенно восстанавливаются исходные св-ва материала при отдыхе (эффект Маллинза). При периодич. деформациях нелинейность мех. поведения (зависимость модуля упругости от амплитуды деформации) возникает при крайне малых деформациях подобно тому, как это имеет место, напр., в дисперсных системах с низкомол. дисперсионной средой. Так же, как и для р-ров линейных полимеров, высокоскоростное деформирование резины может приводигь к мех. стеклованию, а растяжение до высоких значений способствует кристаллизации.
Задача реологии жестких полимерных материалов (пластмасс, армир. пластиков)-установление вида релаксац. спектра для линейной области мех. поведения и обобщение этого спектра на нелинейную область. Как правило, рассматривают небольшие (в геом. смысле) деформации и одновременно с проблемами собственно реологии (ползучестью, релаксацией) изучают условия разрушения материала. Предложено неск. РУС для конкретных материалов, позволяющее решать разл. прикладные задачи, связанные с их деформированием в условиях длит. нагружения, когда непосредственно проявляются релаксац. св-ва среды.
При деформировании жестких материалов, помимо ползучести, релаксации и нелинейных явлений, характерных для любых др. сред, наблюдается удлинение образца при сдвиговых деформациях (напр., при кручении проволок). Это-проявление геом. нелинейности, аналогичное эффекту Вай-сенберга в упругих жидкостях. При повторных деформациях кристаллич. полимеров часто имеет место невоспрризводи-мость реологич. кривых, связанная с разрушением кристаллич. структуры,-эффект, аналогичный тиксотропии наполненных эластомеров и текучих дисперсных систем. Наконец, при растяжении твердых пластмасс в нек-ром диапазоне т-р (ниже т-ры стеклования, но выше т-ры хрупкости) по достижении определенной критич. деформации наступает резкое изменение механизма деформирования-ступенчатое сужение исходного образца с формированием однородной "шейки" (явление вынужденной высокоэластич-ности), к-рое можно трактовать как потерю устойчивости процесса деформирования, вызванную релаксац. переходом или изменением кристаллич. структуры.
Микрореология (или структурная реология) устанавливает на основе статистич. физики связь между структурными параметрами и физ. св-вами составляющих тело элементов, с одной стороны, и его реологич. св-вами как континуума (сплошной среды), с другой. Фундам. результат в этой области-ф-ла Эйнштейна, связывающая вязкость h жидкой дисперсной системы с содержанием f сферич. частиц дисперсной фазы: h = hS(1 + 2,5f), справедливая при f
I (hS-вязкость дисперсионной среды). Впоследствии были получены обобщения этой ф-лы, учитывающие возможность гидродинамич. взаимодействия частиц дисперсной фазы, межмол. взаимодействия (поверхностные силы), несферичность твердых частиц, замену твердых частиц каплями жидкости.
Существует два осн. типа моделей структуры дисперсной системы. В первом случае предполагается, что в системе существует непрерывная сетка межчастичных связей, к-рую можно рассматривать как квазикристаллич. решетку. Часть узлов решетки свободна ("вакансии"). Возможность течения системы обусловлена перемещением этих вакансий под действием сдвигового напряжения. Во второй модели рассматриваются группы частиц, двигающиеся как единое целое (агрегаты или блоки). Текучесть системы зависит от размера агрегатов, к-рый, в свою очередь, определяется скоростью деформации. Эта модель соответствует случаю более глубокого разрушения структуры при деформировании. Если структура имеет неоднородности, что характерно для высококонцентрир. систем, при деформировании может образоваться разрыв сплошности, т.е. появляется зона локализации сдвига с пониж. концентрацией дисперсной фазы. Рассматривая это явление по аналогии с образованием трещины в кристалле и используя критерий Гриффитса для роста трещины (см. Прочность), можно считать, что образование разрыва сплошности произойдет при
, где l-характерный размер неоднородности, а и F-соотв. размер частиц и сила связи между ними, обусловленная межмол. притяжением.
Как и для вязкоупругих жидкостей, мерой перестройки структуры дисперсных систем является отношение характерных времен структурных изменений d и деформирования
. Напр., для высокодисперсных суспензий величина d определяется броуновским движением частиц (d ~ hSa3/kT)и межчастичным взаимод. (d ~ hSa2/F) (k-постоянная Больцмана). Из этих двух причин большую роль, как правило, играет та, к-рой соответствует меньшая величина
Оценка параметров h0, т, h, в РУС для неньютоновских жидкостей в применении к структурир. дисперсным системам требует дополнит. предположений о характере структуры. В частности, для систем, в к-рых структурообразование сводится к образованию сферич. агрегатов, разрушаемых из-за гидродинамич. потока (роль броуновского движения мала),

где h, -вязкость полностью разрушенной структуры. Эта величина м.б. оценена по ф-ле Эйнштейна, обобщенной на случай умеренных или высоких значений f: h, = hSf(f), где f(f)-ф-ция, равная 1 при f = 0 и равная , при f = fm, соответствующем плотной упаковке частиц.
Микрореология полимеров основана на мол.-кине-тич. моделях, представляющих полимер набором последовательно соединенных друг с другом максвелловских тел, диспергированных в вязкой или вязкоупругой среде (модели Каргина-Слонимского-Рауза и др.). Эти модели позволили объяснить и предсказать форму релаксац. спектра полимера, оценить влияние длины цепи и содержания полимера в р-ре на времена релаксации. Согласно т. наз. скейлинговой концепции, в первом приближении все длинноцепочечные полимеры проявляют подобные св-ва при надлежащем выборе масштаба сравнения, а определяющую роль в проявлении реологич. св-в полимерных систем играет только длина цепи, но не ее хим. строение. Этот подход позволил получить выражения, описывающие с точностью до численных коэффициентов реологич. св-ва полимерных материалов с помощью степенных ф-ций, подобных вышеприведенной зависимости h от М.
Микрореология и теория скейлинга (подобия) позволяют обосновать и объяснить физ. смысл параметров в РУС.
Виброреология - область реологии, изучающая влияние вибрации на течение дисперсных систем. Вибрация в сочетании с добавками ПАВ является универсальным средством управления реологич. св-вами дисперсий. Для суспензий и порошков с частицами размером более 1 мкм вибрация играет ту же роль, что и броуновское движение для систем с меньшими частицами, т.е. приводит к разрушению структуры, в результате чего повышается текучесть системы. Вибрация, кроме того, обеспечивает однородность системы, препят-ствуя возникновению разрывов сплошности. При вибрац. воздействии эффективная вязкость суспензий уменьшается, причем особенно существенно (на неск. порядков) вязкость уменьшается при малых
, что связано с разрушением структуры суспензии.
Порошки, в отличие от суспензий, не обладают текучестью и при деформировании ведут себя как твердые тела. Вибрац. воздействие, сопровождаемое обычно пропусканием газа через слой порошка, переводит порошок в состояние виброожижения. В этом состоянии порошок приобретает текучесть и его можно рассматривать как жидкость или плотный газ, в к-ром роль молекул играют частицы дисперсной фазы, а эффективная т-ра определяется параметрами воздействия. Суспензии и порошки в состоянии виброожижения имеют ряд общих св-в, т. к. их текучесть определяется происходящими в них процессами образования и разрушения структуры. Предполагая, что частицы суспензии или порошка объединяются в сферич. агрегаты, можно оценить эффективную вязкость этих систем, если вместо
подставить эффективную вибрац. скорость деформирования
. Однако понятие вязкости полностью разрушенной структуры h, имеет разный смысл для суспензий и порошков. В случае суспензий h, связана с диссипацией энергии при течении среды в пространстве между частицами и определяется по обобщенной ф-ле Эйнштейна. В случае порошков h, обусловлена переносом импульса частицами при столкновениях. Используя методы теории плотных газов, можно рассчитать h, по ф-ле:

где m-масса частиц, E-кинетич. энергия хаотич. движения, сообщаемая частицам при вибрации, g- ускорение свободного падения, H-высота слоя порошка цри плотной упаковке. Эта ф-ла применима при E
тgН. В противном случае происходит переход к виброкипению, сопровождаемый ростом h,.
Разрушение структуры дисперсной системы при вибрации и связанное с этим уменьшение вязкости можно интерпретировать как "плавление", воспользовавшись представлениями о квазикристаллич. характере структуры. Такое "плавление" является следствием сообщения источником вибрации кинетич. энергии E частицам. Одновременно в результате добавления в систему ПАВ уменьшается потенц. энергия U межчастичных связей. Вязкость h виброожижен-ной системы зависит от параметра E/U, причем
h!Ае(U/E),
где А-величина, слабо зависящая от U/E. Отсюда следует, что существует два способа снизить вязкость дисперсной системы: увеличить E вибрацией или снизить U добавлением ПАВ, Разрушение структуры происходит при U
E. При этом кроме повышения текучести обеспечивается "залечивание" "разрывов сплошности. Вибрац. воздействие в сочетании с добавками ПАВ позволяет снизить вязкость дисперсной системы до величин, близких к h,, что не всегда возможно при сдвиговой деформации с постоянной
. Методы структурной реологии и виброреологии концентрир. дисперсных систем эффективно используются в процессах переработки дисперсных систем и получения дисперсных материалов, в технологии бетона, процессах трубопроводного гидротранспорта высококонцентрир. масло- и водоугольных суспензий, технологии получения абразивных материалов на керамич. связующем, а также многокомпонентных порошкообразных материалов, в пищ. пром-сти. Технол. процессы ускоряются в десятки и сотни раз в результате уменьшения вязкости (роста текучести) систем; при этом значительно повышается однородность структуры и соотв. качество (прочность и долговечность) дисперсных композиц. материалов.
Электро- и магнитореология-области реологии, изучающие влияние электрич. и магнитных полей на течение жидких дисперсных систем. Возможность регулирования реологич. св-в дисперсных систем воздействием на них электрич. поля была установлена на примере пластичных смазок. Электро- и магнитореологич. эффекты проявляются в усилении эффекта неньютоновского течения, роста предела текучести при сдвиге и модуля упругости, что обусловлено усилением структурообразования в системах с преим. неводной дисперсионной средой и частицами дисперсной фазы, обладающими диэлектрич. и ферромагнитными св-вами. Разработаны спец. составы электрореологич. суспензий, весьма чувствительных к воздействию электрич. полей. В качестве дисперсионных сред обычно используют маловязкие углеводородные жидкости с высоким уд. электрич. сопротивлением (до 1020 ОмYм) и диэлектрич. проницаемостью от 2 до 5 (парафиновые и ароматич. углеводороды, р-ры полимеров, силиконовые жидкости и т. д.). В качестве дисперсной фазы используют в-ва, проявляющие склонность к структурированию в электрич. поле: титанаты Ва, Са, Mg, Zn, сополимеры стирола, глутаминовую к-ту, виннокислый калий. Перспективно применение высокодисперсных адсорбентов, напр. диатомитов, аэросила, с адсорбированными на их пов-сти в-вами, способными образовывать с адсорбентами водородные связи (спирты, высшие жирные к-ты, амины). Для снижения вязкости, повышения агрегативной и седи-ментац. устойчивости в состав электрореологич. суспензий включают глицерин, олеаты и стеараты сорбита и др. Электрореологич. суспензии применяют в качестве рабочей жидкости гидравлич. систем, в виде тонких пленок в тормозных и др. устройствах, в т.ч. в коробках передач, генераторах крутильных колебаний и т. п.
Магнитореологич. феррожидкости могут содержать частицы коллоидных размеров или быть грубодисперсными суспензиями, в к-рых твердая фаза-частица карбонильного железа, электролитич. или карбонильного никеля в различных, преим. орг., средах. Коллоидные феррожидкости характеризуются плавным переходом в область нелинейной вязкоупругости (магнитомягкие жидкости), суспензии обнаруживают под действием магн. поля резкое увеличение вязкости, предельного напряжения сдвига, модуля упругости (магнитожесткие жидкости).
Магнитореологич. св-ва жидкостей используют в разл. преобразователях и исполнит. механизмах, дросселях, насосах-дозаторах, амортизаторах и т.п. Это позволяет отказаться от сложных подвижных мех. устройств, уменьшить габариты и увеличить надежность аппаратов.
Лит.: Реология суспензий, пер. с англ., М., 1975; Виноградов Г. В., Малкин А. Я., Реология полимеров, М., 1980; Урьев Н.Б., Высококонцентрн-рованные дисперсные системы, М., 1980; Левтов В. А., Регирер С. А., Шадрина И.Х., Реология крови, М., 1982; Щульман З.П., Кордонский В.И., Магнитореологический эффект, Минск, 1982; Шкурина К. П., Фалалеев Г. Н., Вазетдинола Ф. 3., Реологические свойства горных пород и прогнозирование устойчивости подготовительных выработок, Fr., 1984; Малкин А.Я., Кули-чихин С. Г.. Реология в процессах образования и превращения полимеров, М., 1985; Вострокнутов Е. Г., Виноградов Г. В., Реологические основы переработки эластомеров, М., 1988; Урьев Н.Б., Физико-химические основы технологии дисперсных систем и материалов, М., 1988.
А. Я. Малкин, H. Б. Урьев.