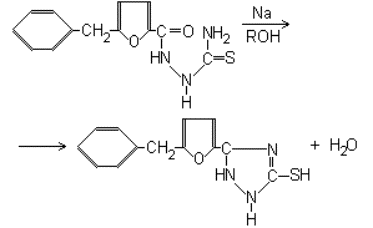
3-(5'-Бензилфурил-2')-5-меркаптотриазол-1,2,4

Предложили: А.Л.Мнджоян, В.Г.Африкян
Проверили: Н.А.Бабиин, А.А.Дохикян.
Получение
В автоклав емкостью 0,5 литра помещают 27,5 г (0,1 моль) 5-бензилфуроил-2-тиосемикарбазида с температурой плавления 190°, раствор металата натрия, приготовленный из 2,6 г (0,11 г-ат) натрия и 40 мл метилового спирта, и 100 мл абсолютного этилового спирта (примечание 1).
Реакционную смесь нагревают при 145-150 градусах в течение трех часов, после чего содержимое автоклава переносят в стакан, фильтруют и от фильтрата досуха отгоняют спирт при уменьшенном давлении (водоструйный насос). Остаток растворяют в 100 мл воды и при помешивании приливают разбавленной соляной кислоты до кислой реакции на конго. Выпавший в осадок 3-(5'-бензилфурил-2')-5-меркаптотриазол-1,2,4 отсасывают и дважды промывают на фильтре 25-30 мл холодной воды. Высушенный на воздухе сырой продукт плавится при 232 градусах. Для очистки его растворяют при нагревании в 200 мл насыщенного раствора углекислого натрия, кипятят в течение 5-10 минут с 3 г животного угля и фильтруют. По охлаждении к фильтрату при помешивании приливают разбавленной соляной кислоты до кислой реакции на конго. Выпавший осадок отсасывают, дважды промывают 25-30 мл холодной воды и сушат на воздухе. Температура плавления 240 градусов (примечание 2).
Выход 21,5-22,5 г или 83,6-87,6% теоретического количества.
3-(5'-Бензилфурил-2')-5-меркаптотриазол-1,2,4, С13H11ON3S, молярный вес 257,32 представляет собой бесцветные кристаллы, нерастворимые в воде, бензоле, эфире и растворяющиеся в щелочах и, в меньшей степени, в спирте и ацетоне.
Примечания
1. Вместо этилового спирта можно применять такое же количество сухого метилового спирта
2. Сырой продукт может быть очищен перекристаллизацией из смеси спирта с ацетоном, что, однако, связано с большими потерями вещества. Очистка, описанная в тексте, дает продукт такой же чистоты.
Другие способы получения
3-(5'-Бензилфурил-2')-5-меркаптотриазол-1,2,4 был получен только описанным выше способом1.
- А.Л.Мнджоян, В.Г.Африкян, ДАН. Арм. ССР, 17, 162 (1953)