Амид 1-метилиндол-3-карбоновой кислоты

Предложили: К.А.Геворкян, Г.Л.Папаян
Проверили: С.Г.Чшмаритян, Л.А.Матевосян
Получение
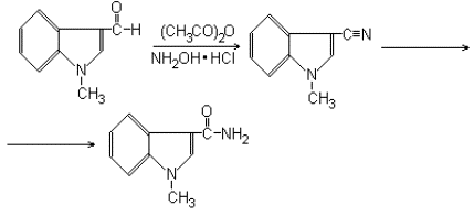
Нитрил 1-метилиндол-3-карбоновой кислоты. В полулитровую четырехгорлую круглодонную колбу, снабженную мешалкой, обратным холодильником, термометром и капельной воронкой помещают 15,9 г (0,1 моля) 1-метилиндол-3-альдегида (прим. 1), 12,0 г (0,2 моля) гидрохлорида гидроксиламина и 78 мл пиридина. Смесь нагревают до 80° и, поддерживая эту температуру, прибавляют по каплям 55 мл уксусного ангидрида в течение 1,5 часа. Реакционная масса окрашивается в темно-красный цвет. Содержимое колбы перемешивают 2 ч при температуре 85-90° и после охлаждения выливают в стакан, содержащий 250 мл воды и 250 г льда. Выпавшие кристаллы отфильтровывают, промывают холодной водой (250-300 мл) и перекристаллизовывают из 200 мл метилового спирта. Выход 12,9-13,5 г (83,3-86,5%), т. пл. 56-57°
Амид 1-метилиндол-3-карбоновой кислоты. В двухгорлую круглодонную колбу емкостью 200 мл, снабженную мешалкой и обратным холодильником, помещают 10,0 г (0,064 моля) нитрила 1-метилиндол-3-карбоновой кислоты и 100 мл 10% водного раствора едкого натра. При перемешивании реакционную смесь интенсивно кипятят 4 ч. Реакционная масса окрашивается в темно-коричневый цвет. После охлаждения выпавший осадок отфильтровывают (прим. 2), промывают холодной водой до нейтральной реакции (около 250-300 мл). Растворяют при нагревании в 250 мл метилового спирта, добавляют 1г активированного угля, кипятят полчаса и фильтруют. Выход 8,3-8,5 г или (74,1-76,2%) теоретического количества; т. пл. 183-184°
Амид 1-метилиндол-3-карбоновой кислоты. C10H10N2O, мол. вес. – 174,20 – белые иглообразные кристаллы, хорошо растворимые в обычных органических растворителях и нерастворимые в воде.
Примечания
1.1-Метилиндол-3-альдегид получен по методу1.
2.Из фильтрата подкислением 10%-ной соляной кислотой получают 0,25-0,3 г или 4,5-5,3% 1-метилиндолил-3-карбоновую кислоту с т.пл. 205-205°2
Другие способы получения
Амид-1-метилиндол-3-карбоновой кислоты получен только вышеописанным методом.
1.H.Wieland, W.Konz, H.Mittasch, Ann., 513, 1 (1934)
2.Fr. Millich, E.F.Becker, J. Org. Chem., 23, 1096 (1958)