Дарзана реакция
ДАРЗАНА РЕАКЦИЯ (конденсация Дарзана), получение оксиранов взаимод. альдегидов или кетонов с
галогенкарбонильными соед. в присут. оснований (щелочных металлов, их алкоголятов или амидов):
Р-цию проводят в инертной атмосфере при 0°С.
Галогенкарбонильными соед. служат эфиры, амиды
галогснкарбоновых к-т,
галогенкетоны и др.; в р-цию, подобную Дарзана реакции, вступают также винилоги обычных реагентов и
галогенсульфоны:

Возможно также использование производных
дигалогенкислот;
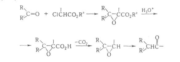
Наиб. широко применяют конденсацию с эфирами
галогенкислот, ведущую к образованию глицидных эфиров. Гидролиз и декарбоксилирование последних приводит к альдегидам и кетонам с большим числом атомов углерода:
Механизм Дарзана реакции лучше всего отображается схемой, к-рая подтверждается кинетич. данными и выделением галогенгидринов:
Осн. побочные продукты Дарзана реакции образуются в результате автоконденсации, алкилирования карбонильного соед. или изомеризации оксиранов. Р-ция открыта Э. Эрленмейером в 1892, подробно изучалась Г. Дарзаном с 1904.
Лит. Обшая органическая химия, пер. с англ., т. 2. М.. 1982, с. 728-29.