Изоиндол
ИЗОИНДОЛ (бензо[с]пиррол), ф-ла I, мол. м. 117,12; бесцв. кристаллы; устойчив при т-ре ниже — 77 °С, при комнатной т-ре легко разлагается. Из производных изоиндола наиб. изучен N-метилизоиндол (т. пл. 90-91 °С), устойчивый только в инертной атмосфере; под действием УФ света флуоресцирует. Для изоиндола и его производных, незамещенных по атому N, характерно наличие двух таутомерных форм, причем для изоиндола равновесие сдвинуто влево.
Изоиндол представляет собой гетероароматич. соед., в к-ром сопряжение связей обеспечивается делокализацией 10p-электронов. Электроф. замещение изоиндола и его производных (ацилирование, азосочетание, присоединение изоцианатов и др.) протекает в положение 1. Они вступают в р-цию диенового синтеза в качестве диена с N-фенилмалеинимидом, малеиновым ангидридом и др. напр.:
Эти р-ции обычно используются для идентификации малоустойчивых производных изоиндола. N-Метилизоиндол при гидрировании в присут. никеля Ренея превращ. в N-метилиндолин. Получают изоиндол вакуумным пиролизом нек-рых производных изоиндолинов, в т. ч. аддуктов изоиндола с диенофилами, напр.:
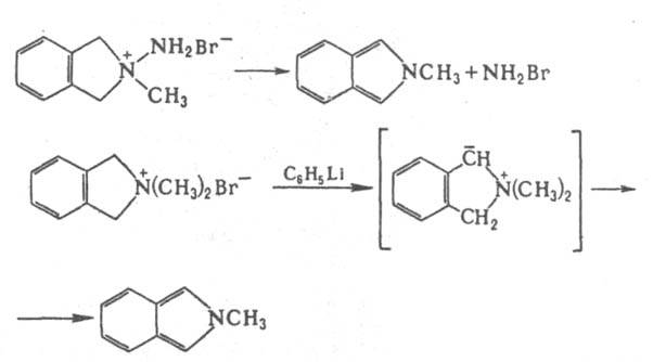
N-Метилизоиндол получают разложением солей изоиндолиния, напр.:
Изоиндольный цикл - фрагмент молекул фталоцианиновых красителей, прир. алкалоида изоборреверина и нек-рых термоустойчивых лестничных полимеров.
Литература
Иванский В. И., Химия гетероциклических соединений. М., 1978, с. 110; Бабичев Ф. С., Ковтунeнко В. А., Химия изоиндола, К., 1983.
Синонимы/примеры:*
Изобензофуран; 2,3-бензофуран
*подобраны ИИ, возможны неточности
Ещё по теме
Индол — свойства и применение
3-(2-гидроксиэтил)индол — свойства и методы получения
Индол и 2,3-бензпиррол — свойства и применение
Индоксил — свойства и применение
Изопропиловый эфир — характеристики и применение
Лабораторный синтез 3-(2-нитровинил)-индола
Изооктан — свойства и применение
Изопропиловый спирт — характеристики и применение