Сорбитаны
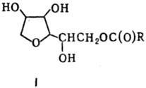
СОРБИТАНЫ (спаны), сложные эфиры ангидросорбита и жирных к-т. Наиб. важны моноэфиры ф-лы I, где R-алкил или алкенил С11-С17. Неионогенные ПАВ. Раств. в этаноле, диэтиловом эфире, не раств. в воде. Критич. концентрация мицеллообразования ок. 0,1 г/л.

Практич. применение находят гл. обр. сорбитаны на основе лауриновой, пальмитиновой, стеариновой и олеиновой к-т. Синтез сорбитанов осуществляют взаимод. сорбита и соответствующей к-ты при 180-225 °С в присут. щелочных катализаторов (NaOH) в среде орг. р-рителя или без него при нормальном или пониженном давлении.
Осн. пром. продукты: сорбитан С (спан-60) - сорби-танмоностеарат, R = C17H35, светло-желтое воскообразное в-во, содержание осн. в-ва 98%, т.пл. 52,5-55,5°С, т. всп. 232 °С, т. воспл. 249 °С, гидрофильно-липофильный баланс (ГЛБ) 4,7; сорбитаноолеат (спан-80)-смесь моно- и диолеатов, вязкая масса от кремового до темно-желтого цвета, содержание осн. в-ва 98% (моноолеата 80-85%), h 1,2 Па·с (25°С), т. всп. 210°С, т. воспл. 246°С, ГЛБ 4,3.
Сорбитаны-эмульгаторы типа вода/масло и солюбилизаторы в фармацевтич. пром-сти и произ-ве косметич. ср-в; замасливатели и мягчители в текстильной пром-сти; ингибиторы коррозии; компоненты чистящих композиций; полупродукты в произ-ве сорбиталей.
Сорбитаны малотоксичны. Раздражают слизистые оболочки ды-хат. путей и глаз. ЛД50 30-75 мг/кг (кролики, перорально).
Лит. см. при ст. Сорбитали. С. В. Елецкая.