Ульмана реакции
УЛЬМАНА РЕАКЦИИ. 1) Конденсация арилгалогенидов под действием меди с образованием диарилов:

Р-цию осуществляют при 100-360 0C в инертном р-рителе (нафталин, толуол, нитробензол, ДМФА и др.) или без него в присут. порошка меди или медной бронзы. Выходы диарилов достигают 95%.
Предполагают, что интермедиатами в этих р-циях являются медьорг. соединения, хотя детали механизма остаются неясными. Реакц. способность арилгалогенидов уменьшается в ряду:
Сильные электроноакцепторные заместители (напр., NO2, COOCH3) заметно активируют атом галогена, особенно если они находятся к нему в орто-поло-жении: ·

Наилучшие выходы удается получить, если один из заместителей в арилгалогениде нитрогруппа, а в качестве р-рителя используется ДМФА.
Заместители, содержащие подвижный атом H (ОН, NH2, COOH), ингибируют р-цию и способствуют протеканию побочных процессов.
При получении несимметричных диарилов наилучшие выходы достигаются, когда один из арилгалогенидов активирован, а второй относительно малореакционноспособен, напр.:

Побочно в этих р-циях образуются соответствующие симметричные диарилы.
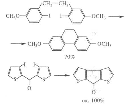
В р-цию, подобную Ульмана реакции, вступают и гетероциклич. соед., напр.:

В условиях Ульмана реакции возможна внутримол. циклизация, напр.:

Если в Ульмана реакцию или подобные ей р-ции вовлекаются дигалоге-ниды, то возможно получение линейных полиаренов или полигетероаренов. Р-ция м. б. остановлена на стадии образования относительно низкомол. олигомеров добавлением мо-ногалогенидов, напр.:

2) Конденсация арилгалогенидов с фенолами, тиофенола-ми, ароматич. аминами или арилсульфиновыми к-тами в присут. меди, приводящая к диариловым эфирам, диарилами-нам, диарилсульфонам или диарилсульфидам:

Р-цию осуществляют при нагр. в инертном р-рителе. Она протекает легче при наличии электроноакцепторного заместителя в арилгалогениде в орто-положении.
Р-ции открыты Ф. Ульманом соотв. в 1896 и 1903.
Лит.: Мороз А. А., Шварцбеrг M. С., "Успехи химии", 1974, т. 43, в. 8, с. 1443--61; Общая органическая химия, пер. с англ., т. 1, M., 1981, с. 425-28; Fan ta P. E., "Synthesis", 1974, № 1, p. 9-21. В. В. Жданкин.