Мёссбауэровская спектроскопия
МЁССБАУЭРОВСКАЯ СПЕКТРОСКОПИЯ (гамма-резонансная спектроскопия), основана на явлении излучения и резонансного поглощения g-квантов атомными ядрами в твердых телах без потери части энергии на отдачу ядра. При этом внутр. энергия решетки твердого тела не изменяется (не происходит возбуждения фононов-колебат. квантов). Это явление названо эффектом Мёссбауэра. Эффект Мёссбауэра позволяет наблюдать ядерное резонансное поглощение (рассеяние) со спектральными линиями естеств. ширины Г, к-рая обычно лежит в интервале от 10 -9 до 10 -5 эВ, что соответствует временам жизни первых возбужденных (т. наз. мёссбауэровских) ядерных уровней 10-6 >= t >= >=10-10с. Для создания стационарного источника мёсс-бауэровского излучения со столь малыми временами жизни необходимо поддерживать количество короткоживущих возбужденных состояний ядер в твердом теле в течение относительно большого времени эксперимента. Для этого используют долгоживущие материнские радионуклиды, к-рые распадаются и создают короткоживущие мёссбауэровские уровни; ядерные р-ции; кулоновское возбуждение (облучение потоком высокоэнергетич. g-квантов) мёссбауэровского уровня стабильного нуклида в процессе измерения (с использованием ускорит. техники). Резонансное поглощение g-квантов возможно лишь при Е0 = Е'0 (где Е0 и Е'0 - энергии возбужденных состояний излучающего и поглощающего ядер соотв.) (рис. 1).

Рис. 1. Схематическое изображение процессов излучения и резонансного поглощения g-квантов.
Для наблюдения спектра поглощения необходимо контролируемым образом изменить энергию g-квантов DЕ и найти зависимость интенсивности прошедшего через поглотитель пучка g-квантов как ф-цию этого изменения. Наиб. удобный и обычно применяемый способ -доплеровское изменение энергии DЕД, возникающее при перемещении источника излучения (или поглотителя) с варьируемой скоростью u. Тогда DEД = E0u/c (с-скорость света). Величины электрон-ядерных взаимод., обусловливающих различие Е0 и Е'0 для одинаковых нуклидов, соответствуют диапазону u в интервале — 10 см/с
u
10 см/с и обычно составляют менее 10 -6 эВ. Измеряя интенсивность прошедшего через поглотитель g-излучения как ф-цию скорости u, получают мёссбауэровский спектр, характеристиками к-рого являются положение линий в шкале скоростей, их число, относит. интенсивность, форма и площадь. Для измерения зависимости резонансного поглощения от u используют мёссбауэровский спектрометр, упрощенная схема к-рого представлена на рис. 2. Все нерезонансные процессы поглощения g-квантов в в-ве от u не зависят. Естественно, что в случае наличия разл. изотопов в источнике излучения и поглотителе невозможно компенсировать различие Е0 и Е'0, к-рое, как правило, более 10 эВ и обусловлено не электрон-ядерными взаимод., а различиями в ядерном строении. Т. обр., Мёссбауэровская спектроскопия обладает св-вом абс. избирательности: резонансное поглощение возможно лишь в случае, когда в источнике излучения и поглотителе существуют ядра одного и того же изотопа (в возбужденном и основном состояниях соотв.). Др. элементы и изотопы не оказывают на него влияние. Кол-во спектральных линий поглощения и их положение в энергетич. шкале зависят от значений спинов ядер в основном и возбужденном состояниях и природы электрон-ядерных взаимодействий в данном в-ве, наличия внутриатомных магнитных полей, градиентов электрических полей, природы химической связи.

Рис. 2. Упрощенная схема мёссбауэровского спектрометра; источник g-квантов с помощью мех. или электродинамич. устройства приводится в возвратно-поступат. движение со скоростью u относительно поглотителя. С помощью детектора измеряется зависимость интенсивности потока g-квантов, прошедшего через поглотитель от скорости.
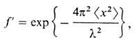
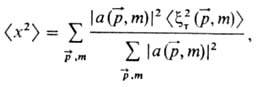
Параметры мёссбауэровских спектров. 1) В е р о я т н о с т ь эффекта Мёссбауэра в общем случае записывается в виде:

где

где
-плотность распределения частот осцилляторов или т. наз. фононный спектр твердого тела,
-средний квадрат амплитуды колебаний отдельного осциллятора, к-рый зависит от степени его возбуждения, т. е. от т-ры твердого тела. Вероятность эффекта Мёссбауэра падает также с уменьшением порядкового номера элемента, т. к. при этом сильно возрастает энергия первого возбужденного ядерного состояния Е0 и на ядрах легких элементов, напр. О, N, С, эффект не наблюдается. Пока он отмечен для 103 нуклидов 44 элементов, причем для нек-рых (напр., 57Fe, 119Sn и др.), входящих в состав твердых тел с высокой т-рой Дебая, его обнаруживают даже при Т
500 К.
Задавая разл. модели фононных спектров (гармонич. приближение - модель Эйнштейна, модель Дебая, ангармо-нич. приближение и т.д.) и сравнивая их с зависимостью
Исследования зависимостей f' от т-ры используют при установлении координац. чисел, для определения фазовых переходов и изучения характерных динамич. параметров твердых тел до и после фазового перехода. Особенно эффективен этот метод в области низких и сверхнизких т-р и для некристаллич. в-в, когда, как правило, затруднены рентге-ноструктурные исследования.
На ф-цию f'(T) также влияют высокие давления и дефекты в кристаллич. решетке, возникающие вследствие радиац. повреждений, легирования, мех. воздействий. Значения f'(T)отличаются для атомов, сорбированных на поверхности твердого тела и в его объеме, в высокодисперсных материалах.
В случае атома, входящего в состав в-ва в качестве примеси, зависимость f' (Т)приобретает специфич. характер, к-рый, в частности, зависит от соотношения масс атомов матрицы и примеси. Это относится не только к кристаллич., но и к аморфным телам.
Вероятность эффекта Мёссбауэра в мол. кристаллах чувствительна к мол. массе; это позволяет определять последнюю неразрушающим методом.
Площади спектральных линий, наблюдаемые экспериментально, пропорциональны концентрации исследуемого атома в образце при фиксир. т-ре. На измерении этих площадей основано применение Мёссбауэровской спектроскопии для решения нек-рых задач аналит. химии и фазового анализа в-ва. Так, в случае многофазной системы по присутствию в мёссбауэровском спектре характерных линий можно количественно судить о содержании соответствующих сред. На этом принципе основаны приборы по изучению фазового состава железосодержащих руд и минералов. В настоящее время изучено неск. тысяч индивидуальных соед. Sn и Fe, что м. б. использовано для анализа сложных прир. систем и изменения их фазового состава в зависимости от внеш. условий, в т. ч. от истории их образования в геохронологич. и сейсмогеохим. задачах.
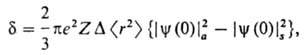
2) Э н е р г е т и ч е с к и й с д в и г спектра излучения относит. спектра поглощения вычисляется как сумма температурного сдвига dT и изомерного сдвига d.
Температурный (доплеровский) сдвиг линии возникает вследствие изменения энергии g-квантов при их излучении и поглощении в результате релятивистского изменения массы излучающих и поглощающих ядер соотв. ("красное смещение"). Напр., для 57Fe ожидаемое смещение при переходе от комнатной т-ры к Т
0 близко к естеств. ширине линии. Поскольку различие в т-рах источника и поглотителя более 300 К встречается редко, вклад dT мал и обычно маскируется более сильным сдвигом 8, к-рый от т-ры не зависит.
Для тождеств. ядер в отсутствие электрич. и магн. полей спектр представляет собой одиночную линию (рис. 3, а).
Изомерный (хим.) сдвиг связан с электрич. монопольным кулоновским взаимод. между ядром с зарядовым радиусом r и электронами атома:

где е-элементарный заряд, Z-атомный номер, D

Рис. 3. Схематическое изображение спектров мёссбауэровского резонансного поглощения g-квантов: I-интенсивность потока g-квантов, прошедших через поглотитель, u -скорость движения источника у-квантов относительно поглотителя; а - резонансная линия при u = 0; б, в, г-соотв. изомерный сдвиг (d), квадруполь ный дублет (DEQ), магн. сверхтонкая структура для ядер 57Fe.
Значения 8 отсчитывают от стандарта, к-рый принят для спектроскопии данного ядра. При этом выбирают соед., стабильное химически и дающее простой мёссбауэровский спектр. Напр., в случае 119Sn d отсчитывается от значения, соответствующего соединению 119SnO2, а для Мёссбауэровской спектроскопии 57Fe в качестве стандарта используют нитропруссид Na.
По величине хим. сдвига можно судить о различии в характере хим. связей. С помощью Мёссбауэровской спектроскопии изучено большое число соед., составлены номограммы, с помощью к-рых по d определяют валентность элемента в неизученных соединениях. В зависимости от конфигурации валентных электронных оболочек атомов и ионов м. б. проведены квантовомех. расчеты |y(0)|2 для своб. атомов. Однако для атомов в твердых телах эти расчеты носят пока полуколичеств. характер.
3) Э л е к т р и ч е с к о е к в а д р у п о л ь н о е в з а и м о д е й с т в и е возникает вследствие взаимодействия квадруполь-ного момента ядра Q с градиентом электрич. поля q, создаваемого электронной оболочкой атома или кристал-лич. решеткой твердого тела, в результате чего в спектрах поглощения наблюдается не одна, а неск. линий. Если спин ядра I> 1/2, a q
0, это взаимод. приводит к "расщеплению" ядерного энергетич. уровня на подуровни, расстояние между к-рыми определяется, напр., для ядра 57Fe выражением:

qxx, qyy, qzz - градиенты электрич. поля на ядре вдоль соответствующих осей. Величина q характеризует отклонение распределения электронного заряда от сферического и определяется выражением:

где R-фактор экранирования (0 < R < 1),
-фактор антиэкранирования, qV и qL -градиенты электрич. поля от электронов атома и окружающих ионов кристаллич. решетки соответственно. Величина DEQ м. б. определена экспериментально, напр. для ядер 57Fe по расстоянию между линиями дублета (рис. 3,в). Для монокристаллов относит. интенсивность спектральных линий зависит от угла j между осью симметрии кристалла и направлением пучка g-квантов. Анализ этой зависимости позволяет установить знак величины q, а также параметры асимметрии, если поле не аксиально симметрично. В случае ядер со спиновыми переходами b 5/2 -> b 3/2 (напр., 129I) знак q и параметры асимметрии м. б. установлены непосредственно из спектров поликристал-лич. образцов. Для переходов b 3/2 -> b 1/2 при изотропной величине f' интенсивность обеих линий одинакова; если же величина f' анизотропна (анизотропия колебания атомов), то в мёссбауэровских спектрах поликристаллич. образцов появляется асимметрия интенсивности (эффект Гольданско-го - Карягина). Эта асимметрия обычно мала в псликрис-таллах неорг. соед., но может достигать десятков процентов для мол. кристаллов. По ее величине и температурной зависимости можно судить об анизотропии колебаний атомов и молекул в разл. соединениях.
4) М а г н и т н о е д и п о л ь н о е в з а и м о д е й с т в и е обычно наблюдается в магнитоупорядоченных в-вах (фер-ро-, антиферро-, ферримагнетиках), в к-рых на ядра действуют сильные магн. поля H от электронных оболочек. Оно приводит к расщеплению основного и возбужденного состояний ядер, в результате чего в спектре поглощения появляется неск. спектральных линий, число к-рых определяется величинами спинов ядер в этих состояниях и правилами отбора (напр., для ядра 57Fe равно 6) (рис. 3,г).
Энергия магн. дипольного взаимод. пропорциональна произведению напряженности магн. поля Н на ядре на магн. момент m ядра. Измерение Н дает возможность изучать электронное и спиновое строение исследуемого соединения и релаксац. эффекты.
Магн. дипольное взаимод. широко используется для изучения электронной и спиновой структуры хим. соед. (высокоспиновые, низкоспиновые соед.), при исследовании магн. св-в в-ва в зависимости от характера хим. связей. Важной особенностью Мёссбауэровской спектроскопии при изучении магн. дипольных взаимод. является высокая чувствительность спектров к локальному окружению мёссбауэровских атомов. Поэтому эта область развита для изучения металлов, сплавов, твердых р-ров, включая вопросы исследования фазового состава, дефектности, фазовых переходов, упорядочения.
Уникальная информативность Мёссбауэровской спектроскопии, относит. простота эксперимента и разработанные теоретич. основы обусловили широкое применение Мёссбауэровской спектроскопии в физике и химии твердого тела, ядерной физике, геологии и археологии, аналит. химии, хим. технологии.
Эффект Мёссбауэра открыт Р. Мёссбауэром в 1958, в 1961 за это открытие автор удостоен Нобелевской премии.
Исп. литература для статьи «МЁССБАУЭРОВСКАЯ СПЕКТРОСКОПИЯ»: Химические применения мёссбауэровской спектроскопии, под ред. В. И. Гольданского, В. В. Храпова, М., 1970; Николаев В. Н., Русаков В. С., Мессбауэровские исследования ферритов, М., 1985; Advances in Mossbauer spectroscopy; applications to physics, chemistry and biology, ed. by B.V. Thosar et al, Amst., 1983. Е.Ф. Макаров.