Молекулярные интегралы
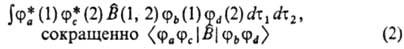
МОЛЕКУЛЯРНЫЕ ИНТЕГРАЛЫ в квантовой химии, название интегральных выражений (интегралов), к-рые используются для записи в матричной форме электронного ур-ния Шрёдингера, определяющего электронные волновые ф-ции многоэлектронной молекулы (мол. системы). Подынтегральными ф-циями в молекулярных интегралах являются атомные или мол. орбитали (волновые ф-ции) отдельных электронов либо орбитали, преобразованные теми операторами, к-рые входят в оператор Гамильтона и соответствуют определенным физ. величинам (напр., потенциалу взаимод. электронов, дипольному моменту и др.). Интегрирование производят по всему объему, в к-ром вероятность обнаружения каждого электрона, определяемая интегралом по этому объему от произведения его волновой ф-ции j на комплексно-сопряженную величину j*, равна 1. Молекулярные интегралы обычно имеют следующий вид:

(т. наз. о д н о э л е к т р о н н ы е и н т е г р а л ы) либо

(т. наз. д в у х э л е к т р о н н ы е и н т е г р а л ы). В этих выражениях ja(1), jb(1), jс(2) и jd (2) - атомные или мол. орбитали, зависящие от переменных первого (1) или второго (2) электрона, dt1 и dt2-элементы объема для этих электронов,
- одноэлектронный, а
- двухэлектронный операторы, к-рые зависят от переменных соотв. одного или двух электронов и действуют на волновые ф-ции jb(1) и jb(1)jd(2) (см. Квантовая механика).
Классификация одно- и двухэлектронных молекулярных интегралов связана с видом подынтегральных ф-ций и операторов. Так, в простейшем случае, когда
-единичный оператор (умножение на единицу), т.е., по существу, в интеграле (1) оператор отсутствует, получающийся одноэлектронный молекулярный интеграл называют и н т е г р а л о м п е р е к р ы в а н и я орбиталей jа(1) и jb(1). По значению интегралов перекрывания атомных орбиталей часто судят о прочности хим. связи между атомами А и В, если ja(1) и jb(1)- атомные орбитали, соответствующие этим атомам. Если
= — Zce2/R1c-oпepaтор потенциальной энергии взаимод. электрона 1 и ядра С, заряд к-рого Zc (R1c-расстояние между электроном 1 и ядром С), соответствующий молекулярный интеграл называют интегралом электрон-я д е р н о г о в з а и м о д е й с т в и я. К числу одноэлектронных молекулярных интегралов относят также интегралы кинетич. энергии, интегралы дипольного момента и др.
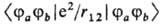
В выражениях для двухэлектронных молекулярных интегралов наиб. часто встречается оператор кулоновского отталкивания электронов 1 и 2, т.е.
(1, 2) = е2/r12, где r12-расстояние между электронами. При этом молекулярный интеграл вида

наз. кулоновскими. Они соответствуют классич. элект-ростатич. взаимодействию двух зарядов, один из к-рых распределен в пространстве с плотностью rа(1) = j*a(1) х х ja(1), а другой-с плотностью rb (2) = jb* (2) jb (2). Если переставить индексы а и b у ф-ций, следующих за символом оператора e2/r12, получаются молекулярные интегралы вида

к-рые наз. о б м е н н ы м и. Появление обменных молекулярных интегралов в выражениях для энергии и для др. св-в многоэлектронных мол. систем связано с принципом Паули и не имеет аналогии в классич. теории (см. Обменное взаимодействие).
Молекулярные интегралы различают также по локализации орбиталей jа, jb,... Если эти орбитали локализованы у одного из атомных ядер молекулы (или в области между ядрами), т.е. если они относятся к одному центру (ядру или к.-л. точке в пространстве между ядрами), то молекулярные интегралы наз. одноцентровыми; если ja относится к центру А, а jb-к центру В, говорят о д в у х ц е н т р о в ы х молекулярных интегралах, и т.д. При этом в число центров включаются и те, от переменных к-рых зависят также операторы А(1)или В(1,2); так, если A(1)-упомянутый выше оператор потенциальной энергии взаимод. электрона 1 с ядром С, то это ядро также считается центром для молекулярного интеграла.
Нек-рые молекулярные интегралы с одинаковыми названиями имеют разл. смысл в разных квантовохим. методах. Так, в методе Хюкке-ля резонансными молекулярными интегралами наз. ненулевые недиагональные матричные элементы эффективного одноэлектронного гамильтониана (см. Молекулярных орбиталей методы), а в полуэмпирических методах типа методов полного пренебрежения дифференц. перекрыванием резонансные молекулярные интегралы-лишь такие слагаемые недиагональных матричных элементов фо-киана, к-рые при конкретных расчетах заменяются на те или иные комбинации эмпирич. параметров. В валентных связей методе обменными молекулярными интегралами наз. матричные элементы
двухэлектронного гамильтониана H(1, 2) в базисе атомных орбиталей, что отличается от выражения (3) для обменных молекулярных интегралов в методах мол. орбиталей.
Расчет молекулярных интегралов всегда представлял собой одну из важнейших вычислит. проблем квантовой химии, к-рая стала особенно острой в связи с развитием и широким применением неэмпирических методов. Для упрощения вычислений проводят поиск оптимальных базисных ф-ций, к-рые позволяют получать наиб. простые ф-лы для расчета молекулярных интегралов. В частности, для многоатомных молекул оптимальными базисными ф-циями оказались орбитали гауссова типа (см. Орбиталъ). Еще более трудная проблема - рост числа молекулярных интегралов с увеличением кол-ва базисных орбиталей: если число последних - М, то число молекулярных интегралов превышает М4/8. При М
102 приходится рассчитывать 107-108 молекулярных интегралов. Поскольку обычно мол. системы рассматривают в адиабатическом приближении, требующем вычислений в отдельности для каждой фиксированной геом. конфигурации ядер, а число таких конфигураций для многоатомных молекул достаточно велико даже при описании локальных участков поверхности потенциальной энергии, то становится ясным, какие трудности связаны с расчетами молекулярных интегралов или пересчетом на каждом шаге итераций. Именно из-за этих трудностей активно разрабатывают полуэмпирич. методы, основанные, напр., на полном или частичном пренебрежении дифференц. перекрыванием. В подобных методах число молекулярных интегралов увеличивается с ростом числа М базисных ф-ций не быстрее, чем М2. В полуэмпирич. методах используют модельные представления, согласно к-рым отдельные молекулярные интегралы либо нек-рые их комбинации рассматривают как параметры, имеющие определенный физ. смысл. Подобный подход позволяет наглядно интерпретировать расчетные результаты и сопоставлять их для разных мол. систем.
Лит. см. при ст. Квантовая химия. Н. Ф. Степанов.