Брауна реакция

БРАУНА РЕАКЦИЯ, расщепление третичных аминов бромистым цианом с образованием цианамидов и алкилбромидов:1061-30.jpg

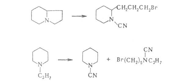
Алифатич. амины расщепляют в инертном р-рителе при охлаждении. Арилдиалкил- и особенно диарилалкиламины реагируют в значительно более жестких условиях. Расщепление гетероциклич. третичных аминов бромцианом затрудняется с увеличением цикла и может сопровождаться распадом кольца, напр.:
1061-31.jpg

Брауна реакция включает промежут. образование нестойкой четвертичной соли аммония и послед. нуклеоф. замещение орг. остатка бромид-ионом:
1061-32.jpg

Данные о направлении распада несимметричных аминов используют для определения относит. прочности связи орг. радикала с атомом азота. Прочность связи можно определить также расщеплением бензоильных производных вторичных аминов с помощью РС15 или РВr5 (это расщепление также иногда называют Брауна реакцией):
1061-33.jpg

Циклич. амины превращаются при этом в алифатич. дигалогениды:
1061-34.jpg

Ряды прочности, полученные обоими методами, хорошо совпадают и известны под названием рядов Брауна; прочность связи N—Alk увеличивается в ряду:
1061-35.jpg

При Брауна реакции побочно образуются олефины (особенно в случае третичных аминов, содержащих разветвленный радикал) и тетраалкиламмониевые соли. Брауна реакцию используют для установления строения алкалоидов. Синтез галогенидов и дигалогенидов по Брауна реакции имеет нек-рое препаративное значение. Р-ция открыта Ю. Брауном в 1900.

Литература

The chemistry of the amino group, ed. by S. Patai, L.-[a.o.l 1968; Malik A., Afza N.. Siddiqui S., "Zeitschrift fur Naturforschung", 1982, Bd 37B, N 4, S. 512-18; Siddiqui S., Begum S., Sidd iqui B.S., там же, N II, S. 1481-84. Н. П. Гамбарян.

Синонимы/примеры:* Реакция азосочетания; Реакция диазотирования
*подобраны ИИ, возможны неточности