Вудворда реактив

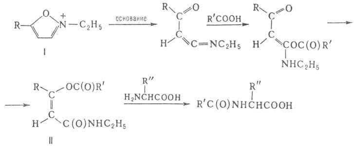
ВУДВОРДА РЕАКТИВ (К-реагент Вудворда), мол. м. 253,28; бесцв. кристаллы (ф-ла I, R = м-C6H4SO3-); т. пл. 206-208 °С (с разл.);1084-48.jpg 283 нм,1084-49.jpg 22,5*103; раств. в воде (1 г в 10 мл), плохо - в орг. р-рителях. Используется как конденсирующий агент при создании амидной связи в пептидном синтезе:
1084-50.jpg

Образующиеся сложные эфиры енолов (ф-ла II) неустойчивы, поэтому их используют не выделяя из реакц. среды. Вудворда реактив позволяет получать конечные продукты с хорошим выходом и не загрязненные примесями.

Вудворда реактив получают р-цией 5-фенилизоксазола с хлорсульфоновой к-той с послед. этилированием образующегося 5-фенилизоксазолий-3'-сульфоната фторборатом триэтилоксония.

Реже применяют модифицированный Вудворда реактив (т. наз. Л - реагент Вудворда, ф-ла III), образующий устойчивые сложные эфиры енолов, к-рые м. б. выделены и использованы самостоятельно для наращивания полипептидной цепи.
1084-51.jpg

Реактивы синтезированы Р. Вудвордом в 1961.

Литература

Woodward R. [а.о.], "Tetrahedron", 1966, suppl. № 8, pt 1, p. 321-46. В. В. Баев.

Комментарии*

Дополнения к описанию Вудворда реактива:

  • Механизм действия: Реактив Вудворда (йодид 2-этил-5-фенилизоксазолий-3'-сульфоната) активирует карбоксильную группу, образуя промежуточный еноловый эфир (активированный эфир), который затем атакуется аминогруппой с образованием амидной (пептидной) связи.
  • Ключевое преимущество: Основное значение реактива заключается в том, что он позволяет проводить пептидный синтез в водных средах, что особенно ценно для синтеза пептидов, содержащих чувствительные к кислотам или основаниям аминокислоты (например, триптофан).
  • Сравнение с другими методами: В отличие от таких методов, как смешанные ангидриды или активация карбодиимидами (DCC, EDC), реактив Вудворда минимизирует риск рацемизации (эпимеризации) стереоцентра аминокислоты во время образования связи.
  • Область применения: Широко использовался в классическом растворительном пептидном синтезе, особенно для получения фрагментов гормонов и других биологически активных пептидов.
*Подобраны с помощью LLM, верифицированы, но возможны неточности.
Синонимы/примеры:* Реактив Вудворда; N-этил-5-фенилизоксазолий-3'-сульфонат
*подобраны ИИ, возможны неточности