2,2-Диметилтетрагидротиопиран-4-спиро-2’-пиперазин (8,8-Диметил-9-тиа-1,4-диазаспиро/5,5/ундекан)

Предложили: Р.А.Куроян, С.А.Вартанян
Проверили: В.В.Саркисян, Г.М.Сихчян
Получение
Опыт следует проводить в вытяжном шкафу.
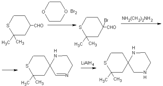
4-Бром-2,2-диметил-4-формилтетрагидротиопиран. В полулитровую плоскодонную колбу, снабженную насадкой для подачи азота и отвода газов, помещают 12,6 г (0,08 моля) 2,2-диметил-4-формилтетрагидротиопирана (см. «Синтезы гетероциклических соединений», вып. 14, с. 24) в 100 мл абсолютного эфира и небольшими порциями, по мере обесцвечивания, прибавляют 24,8 г (0,1 моля) свежеприготовленного сухого диоксан-дибромида (прим. 1). Перемешивают 10-15 мин, удаляя выделяющийся бромистый водород током азота (прим. 2). По окончании отделяют эфирный слой, промывают водой до нейтральной реакции и сушат безводным хлористым кальцием. Отгоняют эфир и остаток быстро перегоняют в вакууме (прим. 3), собирая фракцию, кипящую при 98-100°/4 мм;n20D 1,5410.Выход 10,4-10,8 г (55,6-57,7%).
8,8-Диметил-9-тиа-1,4-диазаспиро/5,5/ундек-4-ен. В 200 мл четырехгорлую круглодонную колбу, снабженную мешалкой, обратным холодильником, термометром и капельной воронкой, помещают 15 г углекислого калия, 5 мл воды, 60 мл ацетонитрила, 12,0 г (0,1 моля) 50%-ного водного раствора этидендиамина и при перемешивании прибавляют по каплям раствор 23,7 г (0,1 моля) 4-бром-2,2-диметил-4-формил-тетрагидротиопирана в 30 мл ацетонитрила, поддерживая температуру в интервале 15-20°. Смесь перемешивают при комнатной температуре 5-7 ч и оставляют на ночь. Экстрагируют эфиром, эфирный экстракт сушат едким кали и после отгонки растворителей остаток перегоняют в вакууме, собирая фракцию, кипящую при 145-147°/4 мм. Выход 11,4-12,0 (58,0-61,0%) (прим. 4).
2,2-Диметилтетрагидротиопиран-4-спиро-2’-пиперазин. В 250 мл четырехгорлую круглодонную колбу, снабженную мешалкой, обратным холодильником с хлоркальциевой трубкой, термометром и капельной воронкой, помещают 100 мл абсолютного эфира и при охлаждении смесью льда и соли прибавляют 3,8 г (0,1 моля) алюмогидрида лития. Затем при перемешивании прибавляют по каплям раствор 13,8 г (0,07 моля) 8,8-диметил-9-тиа-1,4-диазаспиро/5,5/ундек-4-ена в 30 мл абсолютного тетрагидрофурана так, чтобы температура не превышала 0°. Перемешивают при комнатной температуре 5-6 ч и оставляю на ночь. Реакционную смесь охлаждаю примерно до 0°, осторожно добавляю 11 мл воды и 3,8 мл 15%-ного водного раствора едкого натра, перемешивают при комнатной температуре 3 ч и фильтруют. Отгоняют эфир, остаток перегоняют в вакууме, собирая фракцию, кипящую при 124-125°/3 мм;n20D 1,5400, d204 1,0666. Выход 11,2-11,6 г или 80,0-83,0% теоретического количества.
2,2-Диметилтетрагидротиопиран-4-спиро-2’-пиперазин.C10H23N2S, мол. вес. 200,35 – жидкость с зеленоватым оттенком, хорошо растворимая в органических растворителях, нерастворимая в воде.
Примечания
1.Диоксан-дибромид получен по методике1.
2.Рекомендуется нейтрализовать выделяющийся из газоотводной трубки бромистый водород раствором карбоната натрия.
3.Продукт при перегонке частично осмоляется, его можно использовать и без перегонки
4.Продукт достаточно чист и его можно использовать в следующей стадии. При растирании продукт кристаллизуется, т. пл. 83-84°.
Другие способы получения
2,2-Диметилтетрагидротиопиран-4-спиро-2’-пиперазин получен только описанным выше способом2,3.
1.Л.А.Яновская, А.П.Терентьев, ЖОХ, 22 (84), 1598 (1952)
2.Р.А.Куроян, В.В.Саркисян, С.А.Вартанян, Авт. Свид. 996417, Бюлл. Изобр. №6 (1983)
3.Р.А.Куроян, В.В.Саркисян, С.А.Вартанян, ХГС, 920 (1983)