Аллильное замещение

АЛЛИЛЬНОЕ ЗАМЕЩЕНИЕ, происходит при атоме углерода, находящемся в ос-положений к двойной связи (аллильное положение). Нуклеоф. аллильное замещение катализируется к-тами и ионами Ag или Си. В случае мономол. механизма SN1 образуется аллил-катион, к-рый м.б. равновероятно атакован нуклеофилом с любого конца; этот тип аллильного замещения часто сопровождается аллильной перегруппировкой:
1019-7.jpg

где Х-Hal, ОН, OR, OCOR, OSO2R и др.; Y = ОН, OR Hal, CN и др.

При бимол. механизме SN2 замещение идет как по связи С-Х:
1019-8.jpg

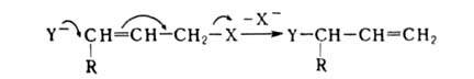
так и по типу винилогичного замещения, когда атака направляется в1019-9.jpgположение к уходящей группе и также сопровождается аллильной перегруппировкой:
1019-10.jpg

При внутримол. механизме SNi замещение происходит в1019-11.jpgположение к уходящей группе:
1019-12.jpg

Первая стадия радикального аллильного замещения- отрыв подвижного аллильного водорода с образованием аллильного радикала, напр.:
1019-13.jpg

Радикальное аллильное замещение осуществляется также при действии на олефины N-бромзамещенных амидов (Воля - Циглера реакция)и при их окислении кислородом:
1019-14.jpg

Аллильное замещение используют для получения аллилгалогенидов из спиртов. Бромирование N-бромсукцинимидом применяется в пром. синтезе кортизона и витамина D3.

Синонимы/примеры:* Аллилгалогениды; Аллильные производные
*подобраны ИИ, возможны неточности