Топные отношения
ТОПНЫЕ ОТНОШЕНИЯ, характеризуют отношения симметрии определенных частей молекулы, а именно отношения груйп (или атомов) и сторон. Две или более идентичных группы в молекуле м.б. по разному расположены относительно остальной части молекулы. Так, в пикриновой к-те (ф-ла I) нитрогруппы в положениях 2 и 6 одинаково расположены относительно реперного атома С-1 (через две связи от С-1), тогда как положения 2 и 4 различны (через две и четыре связи от С-1).

В топных отношениях участвуют только одинаково расположенные идентичные группы. Такие группы м.б. гомотопными (гомотопия), диастереотопными (диас-тереотопия) и энантиотопными (энан-тиотопия). Диастереотопные и энантио-топные группы наз. гетеротопными.
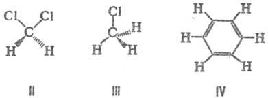
Гомотопными (эквивалентными) наз. группы, взаимозаменяемые благодаря поворотам относительно оси симмет рии. Из этого следует, что любая ахиральная или хиральная молекула, имеющая ось симметрии, содержит по крайней мере один набор (обычно пару) гомотопных групп. К соед., в к-рых присутствуют соотв. два, три и шесть гомотопных атома Н, относятся метиленхлорид II, метилхлорид III и бензол IV.

Энантиотопными наз. группы, к-рые взаимозаменяют-ся операцией симметрии относительно зеркально-поворотной оси [чаще всего это плоскость (s = S1) или центр (Сi = S2) симметрии]. Т. обр., энантиотопные группы могут встречаться только в ахиральных молекулах. Энантиотопными являются группы СН2СООН в лимонной к-те V и их части (СН2, СООН) или фенильные и карбоксильные группы в циклобутане VI.

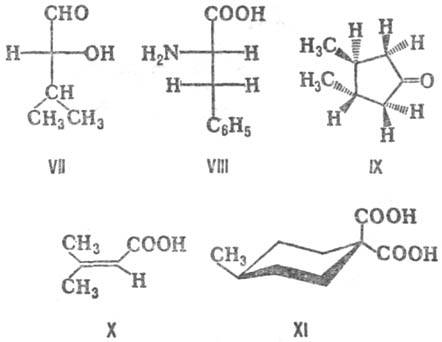
Диастереотопными наз. группы, к-рые нельзя взаимо-заменить в результате любой операции симметрии. Поскольку в асимметричных молекулах, таких, как VII или VIII, нет элементов симметрии, геминальные группы в них (соотв. СН3 и Н) диастереотопны. Хиральные молекулы с поворотной симметрией (напр., DC) и ахиральные молекулы (напр., X и XI) также могут содержать диастерео-топные пары групп, но при этом элемент симметрии не должен относиться к этим группам.

Диастереотопные группы можно легко различить по их отношению (рядом или удалены) к к.-л. реперной группе. Так, геминальные атомы Н в каждой группе СН2 цикло-пентанона IX (группа симметрии С2) диастереотопны, причем один атом Н расположен рядом с соседней метальной группой, а другой-удален от нее. Молекулы X и XI имеют плоскость симметрии, однако метальная и карбоксильная группы, к-рые лежат в этой плоскости, не м.б. заменены операцией симметрии относительно нее. Для конформаци-онно подвижных молекул, таких, как VII и VIII, данное взаимоотношение (близко-далеко) между диастереотопными группами справедливо только для определенной кон-формации; однако мол. окружение каждого члена группы различно для каждого конформера. Хотя величина этого различия (выраженная к.-л. физ. параметром, напр. намагничиванием) зависит от конформац. равновесия, сам факт такого различия нельзя убрать быстрым вращением или инверсией кольца.
Более наглядно понятие Т, о. может быть представлено с помощью т. наз. критерия замещения, заключающегося в умозрительной замене каждой из сравниваемых групп (или атомов) на другую, отличную. Напр., при замене любого метиленового атома H в пропане на атом С1 получим одно и то же соед.-2-хлорпропан. В этом случае говорят о гомотопности метиленовых атомов Н. Если при замене каждого из сравниваемых атомов (групп) образуются разл. энантиомеры, то такие атомы (группы) являются энантиотопными. Если же использование критерия замещения приводит к разл. диастереомерам, то говорят о диастереатопности сравниваемых групп "ли атомов.
В спектрах ЯМР гомотопные атомы и группы всегда характеризуются одним и тем же хим. сдвигом, в то время как диастереотопные различаются по величине хим. сдвига. Энантиотопные атомы и группы имеют одинаковый хим. сдвиг в ахиральных р-рителях и разный в присут. хиральных р-рителей или комплексообразователей. Диастереотопные атомы и группы различаются по скоростям р-ций с любыми реагентами, энантиотопные-по скоростям их р-ций с хиральными реагентами (или с ахиральными в присут. хиральных катализаторов).
Термины "диастереотопия", "энантиотопия" и "гамотопия" выражают отношение одной группы к другой и поэтому могут меняться в зависимости от выбора объекта для сравнения. Так, в циклобутаноне ХП атомы НA гомотопны, и каждый имеет два типа энантиотопных отношений с атомами НB, к-рые также образуют гомотопный набор. Ни один из них не связан никакими операциями симметрии с гомотопной парой атомов НC, к-рые занимают др. структурное положение. В циклобутаноне ХIII атомы НA и НB образуют два энантиотопных набора, тогда как любой атом НА диастереотопен по отношению к любому HB.

Топные отношения для- групп можно распространить на отношения симметрии сторон.
Гомотопными сторонами молекулы являются те, к-рые содержат копланарную ось симметрии. Такие стороны можно найти как в ахиральных молекулах, напр. ацетоне, изобутилене, так и в хиральных, напр. циклопентаноне IX.
Энантиотопными сторонами являются две стороны любой мол. плоскости, к-рая одновременно служит плоскостью симметрии молекулы, но не содержит копланарной оси симметрии. Энантиотопны стороны карбонильной группы в ацетальдегиде XIV, фенилметилсульфиде XV.

Диастереотопными являются две стороны любой мол. плоскости, к-рая не служит плоскостью симметрии и не содержит копланарной оси симметрии. Так, стороны группы С=О в асимметричной молекуле XVI диастереотопны. Плоскость симметрии, перпендикулярная рассматриваемой плоскости, допускает диастереотопность, как можно видеть на примере соед. XIII, содержащего карбонильную группу с диастереотопными сторонами.

Лит.: Мислоу К., Рабан М., в кн.: Избранные проблемы стереохимии, под ред. Н. Аллинджера, Э. Илиела, пер. с англ., М., 1970, с. 9-47; Стод-дарт Дж., в кн.: Общая органическая химия, пер. с англ., т. 1, М., 1981, с. 46; Ногради М., Стереохимия, пер. с англ., М., 1984. См. также лит. при ст. Стереоселективный синтез. Е.Л. Гайдарова.