Хиназолин

ХИНАЗОЛИН, мол. м. 130,15; бесцв. кристаллы; т. пл. 48-49 °С, т. кип. 243 °С;6000-6.jpg 7,33 х 10-30 Кл х м; сравнительно сильное основание (рКа1,9). Хорошо раств. в водных р-рах сильных к-т, большинстве орг. р-рителей, не раств. в воде. Со мн. неорг. и нек-рыми орг. (напр., пикриновой) к-тами образует устойчивые одноосновные соли. При нагр. с водными р-рами к-т и щелочей разлагается на бензальдегид и муравьиную к-ту.

6000-7.jpg

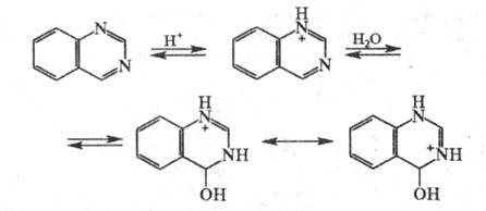
Хиназолин-6000-8.jpg-дефицитное гетероароматич. соед. Легко протонируется в разб. к-тах, при этом образующийся катион хиназолиния обратимо присоединяет воду по связи N-3 — С-4:
6000-9.jpg

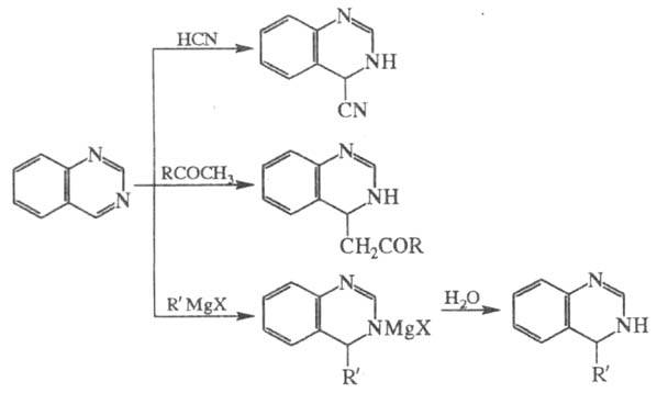
По этой же связи легко присоединяет разл. нуклеоф. агенты с образованием 4-замещенных производных 3,4-дигидрохиназолина, напр.:
6000-10.jpg

Алкилирование хиназолина протекает гл. обр. в положение 3, напр.:
6000-11.jpg

Электроф. замещение в хиназолине происходит по бензольному кольцу, напр. при действии смеси дымящей HNO3 и конц. H2SO4 образуется 6-нитрохиназолин (выход 56%). С NaNH2, аминами и гидразином хиназолин реагирует по механизму последоват. присоединения-отщепления, давая 4-замещенные хиназолины, напр.:
6000-12.jpg

Хиназолин устойчив к окислению, однако при действии КМnО4 в щелочной среде происходит расщепление бензольного кольца, приводящее к 4,5-пиримидиндикарбоновой к-те; при действии Н2О2 в среде СН3СООН окисление проходит через образование протонир. гидрата и приводит к 3,4-дигидро-4-хиназолону:
6000-13.jpg

При восстановлении Na или амальгамой Na в C2H5OH хиназолин превращается в 1,2,3,4-тетрагидрохиназолин.
Хиназолин синтезируют восстановит, циклизацией диформамидного производного нитробензальдегида по р-ции:
6000-14.jpg

Хиназолин- структурный фрагмент хиназолиновых алкалоидов (вазицина, фебрифугина, эводимина, ругекарпина и др.). Нек-рые производные хиназолина -обладают снотворным (метаквалон) и диуретич. действием, являются исходными соед. в синтезе нек-рых красителей (напр., 6-нитро-2,4-дихлорхиназолин) и транквилизаторов либриума и валиума (напр., 2-хлорметил-6-хлор-4-фенилхиназолин-3-оксид), используются как красители в цветной фотографии.

Лит.: Гетероциклические соединения, под ред. Р. Эльдерфидца, пер. с англ., т. 6, М., 1960, с. 268; Общая органическая химия, пер. с англ., т. 8, М., 1985, с. 160; Fused pyrimidines, ed. by D. I. Brown, pt 1; Armareg о W.L.F., Quinazolines, N. Y., 1967.

P. А. Караханов, В. И. Келарев.

Синонимы/примеры:* Хиназолидин; 1,4-диазанафталин; 5,6-бензопиримидин; фенмпиримидин; бензопиримидин
*подобраны ИИ, возможны неточности