Элементоорганические полимеры

ЭЛЕМЕНТООРГАНИЧЕСКИЕ ПОЛИМЕРЫ, содержат в звене макромолекулы наряду с углеводородными группами неорг. фрагменты. В зависимости от хим. состава цепей макромолекул различают 3 группы элементоорганических полимеров: 1) с неорг. основными цепями, обрамленными орг. группами, напр. полиалкоксифосфазены [—P(OR)2 = N —]n; 2) с основными цепями, содержащими чередующиеся атомы углерода и др. элементов, напр. поликарбосиланы [ — Si(R)2 — СН2 — ]n; 3) с орг. основными цепями, обрамленными элементоорг. группами, напр. поли-1 -триалкилсилилэтилены
6038-53.jpg

Для синтеза элементоорганических полимеров могут быть использованы след. р-ции:

1. Поликонденсация соед., имеющих две (или более) одинаковые или разные функц. группы, напр.:

6038-54.jpg

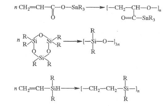
2. Полимеризация соед., имеющих двойные связи, или гетероциклич. соед., а также миграционная полимеризация гидридов разл. элементов, напр.:

6038-55.jpg

3. Совмещенные полимеризационно-поликонденсационные р-ции, напр.:

6038-56.jpg

В данном случае р-ция идет не только с раскрытием силазанового цикла (полимеризация), но и с выделением аммиака (поликонденсация).

4. Полимераналогичные превращения, напр.:

6038-57.jpg

Известны полимеры элементов всех групп периодической системы. наиб. многочисленны по числу представителей и наиб. существенны по практич. значению полимеры Si (см. Кремнийорганические полимеры), В (см. Борорганические полимеры)и Р (см. Фосфорорганические полимеры, Полифосфазены).
Хорошо изучены полимеры А1 и Sn, а также координационные полимеры. Из полимеров Аl наиб. значение имеют лолиорганоалюмоксаны, содержащие в главной цепи группу6038-58.jpg полиалюмоорганосилоксаны6038-59.jpg и полиалюмоорганофосфинаты
широко применяемые для изготовления лаков,6038-60.jpg образующих термостойкие (до 600 °С) покрытия.
Среди полимеров Sn изучены полидиалкил(арил)станнилены (—SnR2—)n, полиорганостанноксаны (— SnR2 — О— )n, полимеры, в основной цепи к-рых кроме атомов Sn присутствуют атомы Ge и Рb (ф-ла I), а также полимеры с атомами Sn в боковых цепях6038-61.jpg

6038-62.jpg

Эти элементоорганические полимеры применяют гл. обр. в качестве стабилизаторов полимеров разл. классов; т. к. они обладают антигрибковой и антимикробной активностью, их используют также в качестве компонентов красок, образующих спец. (т. наз. необрастающие) лакокрасочные покрытия.
В состав разл. координационных полимеров входят Fe, Co, Ni, Cu, Be, Mn и Zn; их св-ва определяются хим. природой лиганда и металла. В отличие от большинства неплавких и нерастворимых координационных полимеров полимерные комплексы, содержащие металлкарбонильные фрагменты в полимерной цепи, раств. в орг. р-рителях и способны образовывать прочные пленки и покрытия с высокой адгезией к стеклу и металлам. Термич. обработка таких пленок приводит к их структурированию и упрочнению.
Элементоорганические полимеры обладают широким спектром специфич. св-в; среди них имеются термостойкие полимеры, полимеры с высокой электропроводностью и полупроводниковыми св-вами, в-ва с высокой твердостью и эластичностью, биологические активные полимеры и др.

Лит.: Энциклопедия полимеров, т. 1, М., 1972, с. 103; т. 2, М., 1974, с. 477; т. 3, М., 1977, с. 960; Успехи в области синтеза элементоорганических полимеров, под ред. В. В. Коршака, М., 1988.

Н. И. Бекасова.