Меламино-формальдегидные смолы
МЕЛАМИНО-ФОРМАЛЬДЕГИДНЫЕ СМОЛЫ, термореактивные олигомерные продукты поликонденсации мела-мина с формальдегидом в присут. щелочных и кислотных катализаторов. Состав продуктов зависит от условий синтеза (мольного соотношения формальдегида и меламина, т-ры, рН среды).
При поликонденсации меламина с формальдегидом происходит гидроксиметилирование меламина по аминогруппам и конденсация образующихся при этом метилольных производных. Вследствие наличия в меламине трех NH2-групп с ним может прореагировать до шести молекул СН2О; при этом могут образоваться продукты с разл. степенью замещения - от моно- до гексаметилолмеламина. Присоединение первых трех молекул СН2О к меламину протекает с большей скоростью, чем последующих трех. Это связано с большими различиями констант равновесия и констант скоростей гидроксиметилирования меламина и его метилольных производных. Так, по мере замещения в меламине от одного до шести атомов Н константы скорости гидроксиметилирования уменьшаются почти в 10 раз, а константы равновесия-в 40 раз. Этим и обусловлено образование смеси продуктов, различающихся содержанием метилольных групп в меламине. С увеличением содержания формальдегида в реакц. среде возрастает кол-во продуктов с большей степенью замещения, а также степень превращ. меламина. Так, при молярных соотношениях в поликонденсации (40 °С, рН 9, 24 ч) СН2О и меламина, равных 1, 3, 5 и 7, степень превращ. меламина составляет 40, 80, 90 и 100%.
Им соответствуют след. составы продуктов р-ции (в %): ок. 30 монометилолмеламина и 7 диметилолмеламина; ок. 36 (моно-), 30 (ди-) и 10 (три-); ок. 27 (моно-), 36 (ди- и три-), 9 (тетра-) и 2 (пента-). Гексаметилолмеламин обнаруживается в составе продуктов лишь при соотношении СН2О: мела-мин > 10. При соотношении СН2О:меламин, равном 30, возрастает кол-во тетра-, пента- и гексаметилолмеламинов до 32, 30 и 12% соотв., а содержание моно-, ди- и триме-тилолмеламинов уменьшается.
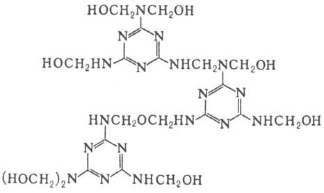
Конденсация метилольных производных меламина завершается образованием термореактивных олигомеров разветвленной структуры. Степень поликонденсации обычно не превышает 3. Ниже приведена структура олигомера:

В пром-сти меламино-формальдегидные смолы получают по периодич. или непрерывной схеме. Товарный формалин (53-54 маc. ч. в расчете на 100%-ный формальдегид) заливают в реактор, разбавляют водой до 30%-ной концентрации и добавляют р-р щелочи до рН 7,8-8,5. Затем в реактор при работающей мешалке загружают меламин (100 маc. ч.), и реакц. смесь нагревают до 80-95 °С. Поликонденсацию ведут при этой т-ре до достижения "водного числа" смолы (кол-во воды в мл, добавленное к реакц. р-ру до его помутнения), равного 6-15, после чего р-р охлаждают и фильтруют. Смолу получают в виде водного 50%-ного р-ра. С помощью сушки (термической в вакууме, а также распылением) получают порошкообразные меламино-формальдегидные смолы.
Отверждаются меламино-формальдегидные смолы при нагр. в нейтральной и щелочной средах, при комнатной т-ре-в кислой среде, превращаясь в нерастворимые и неплавкие сетчатые полимеры. Продукты отверждения обладают высокой прочностью, дуго-, тепло-, водо-, износо- и светостойкостью, хорошей окра-шиваемостью.
Для получения р-римых в орг. р-рителях и водоразбавляе-мых смол, способных совмещаться с разл. пластификаторами и др. олигомерами и полимерами, осуществляют модификацию меламино-формальдегидных смол спиртами (чаще бутиловым), мочевиной, гуанаминами и др. (см., напр., Мочевино-формальдегид-ные смолы).
Применяют меламино-формальдегидные смолы как связующее в произ-ве амино-пластов (напр., пресспорошков, дугостойких прессматериа-лов, декоративных бумажнослоистых пластиков, асбоплас-тиков, искусств. мрамора), для пропитки бумаги, картона и тканей с целью придания им водостойкости, снижения усадки и придания несминаемости. Меламино-формальдегидные смолы, модифицированные спиртами,-основа меламино-алкидных лаков (см. Алкидные смолы), а модифицированные Na-солью n-аминобензолсуль-фокислоты - пластификаторы бетонов.
Исп. литература для статьи «МЕЛАМИНО-ФОРМАЛЬДЕГИДНЫЕ СМОЛЫ»: Вирпша 3., Бжезиньский Я., Аминопласты, пер. с польск., М., 1973; Технология пластических масс, под ред. В. В. Коршака, 2 изд., М., 1976; Сорокин М.Ф., Шодэ Л. Г., Кочнова 3. А., Химия и технология пленкообразующих веществ, М., 1981. В. К. Нинин.