Ароксильные радикалы

АРОКСИЛЬНЫЕ РАДИКАЛЫ АrO, образуются при окислении фенолов в бескислородной среде под действием K3[Fe(CN)6], Pb02, Ag2O и др. Многие выделены в кристаллич. виде, в частности 2,4,6-три-трет-бутилфеноксил, гальвиноксил (см. Гальвиноксильный радикал), индофеноксил (ф-ла I), сириноксил (II). Неспаренный электрон в ароксильных радикалах делокализован по системе1038-3.jpgсвязей, причем спиновая плотность в осн. сосредоточена на атоме О и на атомах С в орто- и пара-положениях. В ИК-спектре ароксильные радикалы поглощают в области 1565-1590 см-1.
1038-2.jpg
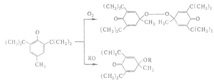
Ароксильные радикалы легко восстанавливаются до фенолов. Большинство окисляется О2 в хинолидные пероксиды, со своб. радикалами рекомбинируют гл. обр. по атому С:
1038-4.jpg

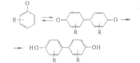
При действии к-т диспропорционируют на фенол и циклогексадиенон. Многие ароксильные радикалы легко димеризуются:
1038-5.jpg

Литература

Розан це в Э. Г., Шолле В. Д., Органическая химия свободных радикалов, М., 1979.

Комментарии*

Дополнения к описанию ароксильных радикалов:

  • Стабильность и структура: Высокая стабильность многих ароксильных радикалов (особенно 2,4,6-три-трет-бутилфеноксила) объясняется стерической защитой реакционного центра объемными заместителями, что препятствует их рекомбинации и димеризации.
  • Характеристика: Являются парамагнитными соединениями, что позволяет легко идентифицировать их методом ЭПР-спектроскопии. Характерные ЭПР-спектры подтверждают делокализацию неспаренного электрона по ароматическому кольцу.
  • Применение: Широко используются в органическом синтезе в качестве стабильных радикалов-ингибиторов радикальных реакций (антиоксидантов), а также как спиновые метки и зонды в физико-химических исследованиях.
*Подобраны с помощью LLM, верифицированы, но возможны неточности.