Витамин D

ВИТАМИН D (кальциферолы), группа прир. соед., обладающих антирахитич. действием. Важнейшие: эргокальциферол [витамин D2; рис. 1; ф-ла III, R = —СН(СН3)СН=СНСН(СН3)СН(СН3)2] - мол. м. 396,7, т. пл. 115-118°С;1075-24.jpg от +103° до 4-108° (абс. этанол); и холекальциферол [витамин D3; рис. I, III, R = —СН(СНз)(СН2)3СН(СН3)2] - мол. м. 384,6, т. пл. 84-86 °С;1075-25.jpg от +105° до +112° (абс. этанол). В-во, к-рое ранее называли витамином D1, - смесь эргокальциферола и др. стеринов.

Витамины D2 и D3 - бесцв. соед., не раств. в воде, хорошо раств. в орг. р-рителях; обладают характерным максимумом поглощения при 265 нм (1075-26.jpg 1,8*104); чувствительны к действию света и кислорода воздуха, особенно при нагревании.

Провитамин холекальциферола-7-дегидрохолестерин [I, R = СН(СН3)(СН2)3СН(СН3)2; содержится в коже человека] ; эргокальциферола - эргостерин [I, R = CH(CH3)CH= =СНСH(СН3)СН(СН3)2; содержится в дрожжах]. При действии УФ-света провитамины превращ. в организме в прекальциферолы, или превитамины (ф-ла И), из к-рых образуются витамины D в результате прототропной перегруппировки.
1075-27.jpg

Рис. 1. Синтез кальциферолов из провитаминов.

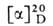
Осн. ф-ция витамина D - поддержание в организме постоянной концентрации Са2+ и Р, что осуществляется благодаря участию витамина в регуляции всасывания этих элементов в кишечнике, мобилизации Са из скелета путем рассасывания предобразованной костной ткани и реабсорбции Са2+ и Р в почечных канальцах. Витамины D2 и D3 всасываются в тонком кишечнике и поступают в печень, где подвергаются гидроксилированию; при этом D3 (рис. 2) превращ. в 25-гидроксихолекальциферол (25-OH-D3), а D2 - в 25-гидроксиэргокальциферол (25-OH-D2). Это превращ. катализирует фермент 25-гидроксилаза. 25-гидроксикальциферолы - осн. транспортная форма витамина D в организме. В плазме крови они (как и др. формы витамина) переносятся специфич. транспортным белком - транскальциферином.

В почках из 25-OH-D3 образуются 1,25-(OH)2-D3 и 24,25-(OH)2-D3. Первое превращ. катализирует фермент 11075-28.jpg гидроксилаза, второе -24-гидроксилаза. Аналогично из 25-OH-D2 образуются 1,25-(OH)2-D2 и 24,25-(OH)2-D2. наиб. активная форма D3, ответственная за его ф-ции, — 1,25-(OH)2-D3 (его биол. активность в 10 раз превышает активность.

Важнейшие регуляторы, активирующие синтез 1,25-(OH)2-D3: паратиреоидный гормон, эстрогены, пролактин, соматотропин и инсулин. Уменьшение концентрации Са2+ в крови при его недостаточном поступлении извне или интенсивной утилизации усиливает секрецию паратгормона, к-рый активирует в почках 11075-29.jpgгидроксилазу, в результате чего ускоряется синтез 1,25-(OH)2-D3. Избыточное поступление Са2+ и Р с пищей подавляет синтез 1,25-(OH)2-D3, т.к. при этом его предшественник 25-(OH)-D3 превращ. в почках в 24,25-(OH)2-D3, к-рый стимулирует всасывание Са и Р в кишечнике так же эффективно, как 1,25-(OH)2-D3, и одновременно стимулирует остеогенез и минерализацию костной ткани.

Осн. патоморфологич. следствие недостаточности витамина D - нарушение минерализации костной ткани. Биол. активность D2 и D3 для человека и большинства животных одинакова. Исключение-куры и нек-рые виды южноамериканских человекообразных обезьян, для к-рых D3 в неск. раз активнее, чем D2.

Биол. активность витамина D измеряется в международных (интернациональных) единицах (ME); 1 ME соответствует антирахитич. активности 0,025 мкг эрго- или холекальциферола. Содержание D2 и D3 в продуктах питания невелико, напр. в печени быка и сливочном масле соотв. 0,4 и 0,4-3,2 МЕ/г; исключение - жир печени трески и тунца, в к-рых этих витаминов содержится соотв. 50-350 и 40000-60000 МЕ/мл. Добавляя значит. кол-ва витамина D в рацион с.-х. животных, можно существенно повысить его содержание в мясе и др. продуктах.

Потребность человека в витамине D, составляющая 400 ME (10 мкг) в сут, при достаточной и регулярной инсоляции обеспечивается фотохим. синтезом D3 в коже. Нарушение синтеза 1,25-дигидроксикальциферолов в почках вследствие заболеваний - причина ренальных остеодистрофий. С генетич. дефектом синтеза этих соед. связан врожденный рахит, не поддающийся лечению обычными дозами D2 и D3. Для профилактики и лечения этой болезни, а также ренальных остеодистрофий наряду с препаратами 1,25-дигидроксихолекальциферола используют также его синтетич. аналог-11075-30.jpg-гидроксихолекальциферол.

В дозах, существенно превышающих физиол. потребность, D2 и D3 высокотоксичны. Они вызывают развитие D-гипервитаминоза с гиперкальциемией и кальцификацией внутр. органов и тканей, что ведет к необратимым нарушениям их ф-ции и в наиб. тяжелых случаях - к летальному исходу.
1075-31.jpg

Рис. 2. Осн. пути метаболизма холекальциферола (витамина Dз).

В пром-сти эргостерин извлекают экстракцией из дрожжей; 7-дегидрохолестерин синтезируют из холестерина бромированием его эфира в положение 7 с послед. дегидробромированием. Кальциферолы получают облучением провитаминов УФ-светом в орг. р-рителе.

Литература

Спиричев В. Б., в кн.: Витамины, М., 1974, с. 89-124; Яхимович Р. И., Химия витаминов D, К., 1978; BekemeierH., Pfennigsdorf G., в кн.: Fermente, Hormone, Vitamine..., 3 АиЛ., Bd 3, Tl 1, Stuttg., 1974, S. 222-327; Norman A. W., Vitamin D the calcium homeostatic steroid hormone, N. Y., 1979. В. Б. Спиричев.

Синонимы/примеры:* Холекальциферол; Эргокальциферол; Кальциферол
*подобраны ИИ, возможны неточности