Айнхорна реакция

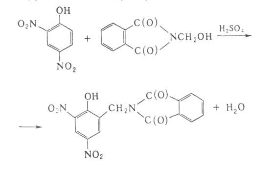
АЙНХОРНА РЕАКЦИЯ (р-ция Черняка-Айнхорна), замещение атома Н в ароматич. соед. на амидо- или имидометильную группу действием соотв. N-гидроксиметиламида или N-гидроксиметилимида, напр.:
1011-9.jpg

Процесс обычно проводят в конц. H2SO4, реже используют спиртовый р-р НС1, Н3РО4, BF3 или безводный А1С13. При применении H2SO4 побочная р-ция-сульфирование ароматич. соединения. Для введения одной группы исходные соед. берут в стехиометрич. кол-вах.

В р-цию, подобную Айнхорна реакции, вступают алифатич. соед. с активиров. атомом Н у атома углерода. Введение имидометильной группы впервые осуществил Черняк в 1902, амидометильной группы-А. Айнхорн в 1905.

Литература

Цаугг Г, Мартин В., в сб.: Органические реакции, пер. с англ., сб. 14, М., 1967, с. 65-286; Guise G, Buehler A., "Textile Research Journal", 1977, v. 47, № 7, p. 496-501. Г.Л. Мищенко.

Комментарии*

Дополнения к описанию реакции Айнхорна:

  • Механизм реакции протекает по электрофильному замещению в ароматическом ядре, где N-гидроксиметильное производное в кислой среде образует электрофильный имин- или амидониевый катион
  • Область применения включает синтез фармацевтических промежуточных продуктов и красителей
  • Современное значение - используется для введения функциональных групп в ароматические системы в органическом синтезе
  • Специфичность - реакция особенно эффективна для активированных ароматических субстратов (фенолы, анизидолы)
*Подобраны с помощью LLM, верифицированы, но возможны неточности.