Газо-жидкостная хроматография

ГАЗО-ЖИДКОСТНАЯ ХРОМАТОГРАФИЯ (ГЖХ, газожидко-твердофазная хроматография), вид хроматографии, в к-рой подвижной фазой служит газ, а неподвижной - жидкость, нанесенная тонким слоем (1092-13.jpg100 нм) на твердый носитель; вариант газовой хроматографии. Неподвижная жидкая фаза (НЖФ) должна быть термически стабильной, химически устойчивой, иметь небольшую вязкость. В кач-ве НЖФ используют1092-14.jpg-дигидроксидипропионитрил, диглицерол, сквалан, три-n-крезилфосфат, эвтектич. смеси, напр. NaN02 (18,2%) + KNO3 (54,5%) + LiNO3 (27,3%), и др. Особую селективность проявляют комплексообразующие НЖФ, напр. р-р соли Ag(I) в этиленгликоле, к-рый позволяет разделять непредельные соединения, в т. ч. их цис-и транс-изомеры. Термически стойки и селективны полиэтиленгликоли (устойчивы до 225 °С), полиметилцианоэтилсилоксаны (до 275°С), апиезон L-смесь углеводородов разветвленного строения (до 300 °С), полидиметилсилоксан (до 350 °С), полиметилфенилсилоксан (до 375 °С), полиметилкарборансилоксаны (до 400 °С).

Слой жидкости на твердом носителе служит для улучшения массообмена разделяемых соед. между подвижной и неподвижной фазами. В кач-ве носителей используют специально обработанные для снижения адсорбц. активности диатомиты (цветохромы, динахромы, хромосорбы), материалы на основе политетрафторэтилена (полихромы), неорг. соли (хлориды, сульфаты) и др. Удельная пов-сть носителей составляет 0,1-1,5 м2/г. При проведении газо-жидкостной хроматографии в капиллярной колонке роль твердого носителя выполняют внутр. стенки капилляра.

Удерживание разделяемых соед. обусловлено их растворением в НЖФ и адсорбцией на границах НЖФ с твердым носителем и газом-носителем. В газо-жидкостной хроматографии измеряют истинный объем удерживания VN:

1092-15.jpg

где Кl,1092-16.jpg и Ks- константы распределения исследуемого соед. в системах соотв. жидкость - газ, пов-сть жидкости -газ и пов-сть твердого носителя - жидкость, vl- объем НЖФ, Sl и Ss - площадь пов-сти соотв. НЖФ и твердого носителя. Разработаны методы, позволяющие количественно определить вклад в величину VN всех осн. видов взаимодействия в-ва с НЖФ и, следовательно, вклад адсорбции в-ва на межфазных границах, к-рый может составлять от 0,01 до 90%, а также вклад растворения в-ва в НЖФ. Хроматографич. зоны идентифицируют при сопоставлении величин удерживания компонента анализируемой смеси и эталона, причем используют совокупность данных по удержанию соед. на колонках с разл. по природе НЖФ. Идентификацию часто проводят по относит. величинам удерживания, т.к. они определяются с существенно большей точностью, чем абсолютные (погрешность меньше в 2 и более раз). Наиб. широко используют индексы удерживания Ковача I, шкала к-рых построена на основе характеристик удерживания нормальных алканов; при увеличении числа атомов углерода в молекуле н-алкана на единицу I увеличивается на 100:
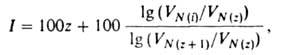
1092-17.jpg

где z-число атомов углерода в н-алкане, к-рый элюируется перед i-тым в-вом; (z + 1)-число атомов углерода в н-алкане, элюируемом после i-того в-ва; VN(i) VN(z) и VN(Z + 1)-исправленные объемы удерживания соотв. i-того в-ва и двух н-алканов с z и (z + 1) атомами углерода. Величина I для данного соед. существенно зависит от типа используемого сорбента. Напр., индексь - удерживания этил-формиата для разл. силоксановых НЖФ составляют 487, 605 и 766.

Адсорбция исследуемыл соед. на межфазных границах приводит к тому, что относит. объем удерживания в общем случае определяется не только отношением констант распределения данного и стандартного соед., но и адсорбц. св-вами пов-стей раздела НЖФ-твердый носитель и газ -жидкость, т.е.1092-18.jpgи I не являются хроматографич. константами в-ва. Хроматографич. константой i-того соединения служит инвариантный (предельный) индекс удерживания I0i, учитывающий взаимод. данного соед. только с НЖФ:
1092-19.jpg

где Кl(i), Кl(z) и Кl(z+1) - коэф. распределения в системе НЖФ-газ соотв. i-того в-ва и двух стандартных соед., молекулы к-рых содержат z и (z 4- 1) атомов углерода, причем Кl(z)1092-20.jpgКl(i) < Кl(z+1). Для определения I0i,- измеряют значения I для данного i-того соединения (I(i)) на неск. колонках, отличающихся содержанием НЖФ.

При продвижении хроматографич. зоны в потоке газа-носителя происходит одновременно ее расширение (размывание), гл. обр. вследствие вихревой и продольной диффузии, а также конечной скорости межфазной массопередачи. При малых скоростях газа осн. причина размывания -обычно продольная, диффузия, при больших - конечная скорость массопередачи.

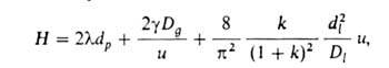
Эффективность колонки, характеризуемая высотой (Я), эквивалентной теоретич. тарелке (ВЭТТ), описывается ур-нием Ван-Деемтера:
1092-21.jpg

где1092-22.jpg,1092-23.jpg-постоянные; dp-диаметр частиц сорбента;1092-24.jpg -коэф. диффузии в-ва в газовой фазе; u-линейная скорость газа-носителя в колонке; k = VN/Vм-коэф. емкости, или коэф. извлечения; Ум-объем удерживания несорбируемого компонента (мертвый объем колонки); dl-эффективная толщина пленки НЖФ; Dl-коэф. диффузии в-ва в жидкой фазе. Использование ур-ния Ван-Деемтера позволяет оптимизировать условия хроматографич. разделения.

Газо-жидкостную хроматографию применяют для разделения и анализа соед., к-рые могут быть переведены в парообразное состояние без разложения, а также для определения таких физ.-хим. характеристик в-ва, как константа распределения, константа комплексообразования, теплота растворения, коэф. активности и др. Газо-жидкостная хроматография используется также для исследования кинетики жидкофазных р-ций, протекающих в хроматографич. колонке между летучим реагентом и нелетучим в-вом, растворенным в жидкой фазе.

Преимущества газо-жидкостной хроматографии по сравнению с газоадсорбционной хроматографией: возможность простого изменения разделительной способности сорбента путем направленного подбора оптимальной НЖФ, получение симметричных зон разделяемых соед. и лучшая воспроизводимость св-в сорбента.

Газо-жидкостная хроматография была предложена А. Мартином и Р. Сингом в 1941 и реализована А. Джеймсом и А. Мартином в 1952.

Литература

НогареС.Д., ДжуветР.С., Газо-жидкостная хроматография, пер. с англ.. Л., 1966; Березкин В. Г., Пахомов В. П., Сакодынский К. И.. Твердые носители в газовой хроматографии, М., 1975; Супима В., Насадочные колонки в газовой хроматографии, пер. с англ., М., 1977; Газовая хроматография в нефтехимии, М., 1975; Березкин В. Г., Газо-жидко-твердофазная хроматография, М., 1986. См. также лит. при ст. Газовая хроматография. В. Г. Березкин.

Синонимы/примеры:* ГЖХ; Газовая хроматография
*подобраны ИИ, возможны неточности