Способы получения
1. Окисление органических веществ. Одноосновные жирные кислоты получаются в результате окисления всевозможных органических веществ. В большинстве случаев при этом происходит расщепление молекулы, и получающиеся кислоты содержат в молекуле меньше атомов углерода, чем исходное окисляемое вещество. Лишь при окислении производных с первичными радикалами (например, первичных спиртов, стр. 209), а также при окислении альдегидов получаются кислоты с тем же числом атомов углерода в молекуле.
2. Действие двуокиси углерода на металлоорганические соединения (реакция карбонирования). Чаще всего для этой реакции применяются натрийорганические соединения (Ванклин) и смешанные магнийорганические соединения (Гриньяр):

В первом случае получаются натриевые соли органических кислот, во втором — смешанные магниевые соли органической и галоидоводородной кислот; при действии на последние водой и минеральной кислотой получаются жирные кислоты:

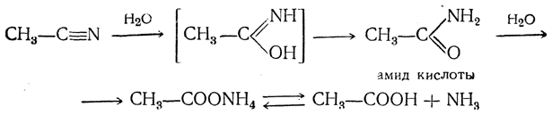
3. Омыление цианистых соединений, или нитрилов кислот. Например:

Приведенные три способа получения карбоновых кислот являются хорошим доказательством строения радикала карбоксила.
4. Декарбоксилирование двух- и трехосновных кислот. Одноосновные карбоновые кислоты получаются нагреванием двухосновных (и трехосновных) кислот, у которых два (или три) карбоксила находятся при одном и том же атоме углерода:

Этим способом можно из малоновой кислоты СН2(СООН)2 и ее гомологов

получить уксусную кислоту и ее высшие гомологи (кроме гомологов, являющихся продуктами замещения всех трех атомов водорода метильной группы уксусной кислоты на углеводородные радикалы). Аналогичным образом может декарбоксилироваться также и щавелевая кислота НООС—СООН, образуя муравьиную кислоту.
5. Обмен заместителей в предельных кислотах на водород. Жирные кислоты могут быть получены, например, восстановлением галоидзамещенных кислот:

6-7. Синтез одноосновных кислот при помощиацетоуксусного эфира. Получение из производных. Карбоновые кислоты могут быть получены из органических веществ всех тех классов, которые объединяются под общим названием «производные органических кислот».