Гракаускаса реакция

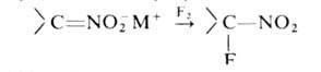
ГРАКАУСКАСА РЕАКЦИЯ, фторирование в водном р-ре щелочных солей алифатич. нитросоединений элементарным фтором с образованием1119-10.jpgфторзамещенных производных:
1119-11.jpg

В р-цию вступают соли ди- и тринитроалканов, эфиров ди-нитрокарбоновых к-т, динитроалкиламидов карбоновых к-т и др. Выходы продуктов составляют обычно 60-90% от теоретического; при использовании солей мононитроалканов они значительно ниже. Фторирование в воде применяют также для получения др. фторсодержащих соед., напр. N-фтор- и N,N-дифтораминов и их производных из аминов или амидов.

Обычно эквивалентное кол-во элементарного фтора, разбавленного N2, вводят при перемешивании и охлаждении (до 0°С) в водный р-р Na- или К-соли нитросоединения; продукт р-ции извлекают орг. р-рителем. Механизм р-ции не выяснен.

Фторирование мочевины в водном р-ре до N,N-дифтор-мочевины открыто В. Гракаускасом в 1961. В 1968 эта р-ция распространена на соли алифатич. нитросоединений.

Лит.. Вацуро К. В., Мищенко Г Л., Именные реакции в органической химии, М., 1976, с. 150-51. Е.М.Рохлин.

Ещё по теме
Фторирование — методы и применение в органическом и неорганическом синтезе
Полифторароматические соединения — свойства и применение
Калия гидрофторид — свойства и характеристики
Фторорганические соединения — свойства, методы получения и применение
Фторуглероды — свойства и применение
Фтористоводородная кислота — характеристики и применение
Пирилия соли — свойства и применение
Фосфорорганические соединения — структура, свойства и применение
Фосфазосоединения — строение, свойства и применение
Фтористоводородная кислота — свойства и применение
Калия фторид — свойства и применение
Кольбе реакция — метод получения углеводородов
Фторуглероды — особенности и применение
Фосфорная кислота — свойства и способы получения
Натрия фторид — характеристики и применение
Фтор и его соединения — свойства и применение