Полифторароматические соединения
ПОЛИФТОРАРОМАТИЧЕСКИЕ СОЕДИНЕНИЯ, содержат, как правило, не более двух заместителей (включая Н), отличных от фтора.
Полифторароматические соединения устойчивы к действию влаги, воздуха, трудногорючи, взрывобезопасны. Атомы F повышают кислотность полифторароматических соединений, напр. рКа для C6F5COOH и С6Н5СООН соотв. 1,75 и 4,20.
В отличие от нефторир. ароматических соединений для полифторароматических соединений наиб. характерны р-ции нуклеоф. замещения, напр.:

Заместители OR, СН3, Н, Hal, CN и др. в ядре полифторароматических соединений -пара-ориентанты; сильные доноры электронов-NH2, ОН-мета-ориентанты; заместители, способные к образованию с нуклеоф. реагентом водородной связи или комплекса донорно-акцепторного типа (NO2, COOH, SO2R), в малополярных р-рителях ориентируют замещение преим. в орто-положение, а в апротонных диполярных - в пара-положение. В октафторнафталине замещение идет только в р-положение.
Р-ция полифторароматических соединений с электроф. реагентами протекает обычно в более жестких условиях, чем с нефторир. аналогами с образованием продуктов электроф. присоединения; для водородсодержащих полифторароматических соединений возможно также электроф. замещение (галогенирование, сульфирование, нитрование, алки-лирование и ацилирование по Фриделю-Крафтсу). Направление р-ции зависит от строения полифторароматич. соед., природы электрофильного реагента и растворителя, напр.:


Полифторароматические соединения вступают в р-ции радикального присоединения и замещения с образованием гл. обр. димеров радикальных а-комплексов (см. Гексафторбензол).
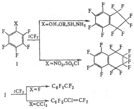
Р-ции полифторароматических соединений с дифторкарбенами (570-770 °С) приводят, в зависимости от характера заместителей, к разл. соед., напр.:

Однако с метиленом гексафторбензол реагирует с расширением цикла.
Полифторароматические соединения могут вступать в фотохим. р-ции; в частности, при фотолизе гексафторбензол превращ. в стабильный гексафторбензол Дьюара, а в присут. олефинов дает продукты присоединения или циклоприсоединения, напр.:

Осн. методы синтеза: взаимод. полихлорароматич. соединений с KF при 300-500 °С без р-рителя или при 150-300 °С в сульфолане, диметилформамиде, бензонитриле; пиролиз хладонов (CBr3F, CHC12F/CH2C1F); фторирование арома-тич. углеводородов или их хлорпроизводных с послед. дегидрогалогенированием или дегалогенированием полученных алициклич. соединений.
Применяют полифторароматические соединения как р-рители, а также для синтеза лек. ср-в, пестицидов, термо- и радиационностойких пластмасс, каучуков, лаков, клеев, масел, смазок и др.
См. также Пентафторанилин, Пентафторфенол, Пента-фторхлорбензол.
Лит.: Реакционная способность полифторароматических соединений, под ред. Г. Г. Якобсона, Новосиб., 1983; Штейнгарц В. Д., в кн.: Вопросы органической химии, в. 2, Л., 1984, с. 112-37. А. Ю. Волконский.