Дeйкина реакция

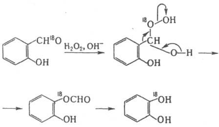
ДEЙКИНА РЕАКЦИЯ, получение многоатомных фенолов действием на ароматич. о- или n-гидроксиальдегиды Н2О2 в водном р-ре щелочи. Механизм р-ции включает внутримол. перегруппировку:
001_020-50.jpg
Побочные продукты - арилкарбоновые к-ты. Выход фенолов - 25-80%. В р-цию, подобную Дейкина реакции, вступают о- и n-гидроксиацетофеноны, напр.:
001_020-51.jpg
Дейкина реакцию широко используют для синтеза многоатомных фенолов из прир. гидроксиальдегидов. Р-ция открыта Г. Дейкином в 1909.

Литература
Общая органическая химия, пер. с англ., т. 2, М., 1982, с. 194-95.
М. В. Проскурнина.

Комментарии*

Дополнения к описанию реакции Дейкина:

  • Механизм реакции представляет собой нуклеофильное присоединение гидропероксид-аниона к карбонильной группе с последующей миграцией арильного радикала (аналогично перегруппировке Байера-Виллигера)
  • Ключевые условия: реакция протекает в сильнощелочной среде (водный раствор NaOH или KOH), что необходимо для генерации активного нуклеофила - гидропероксид-аниона (HOO⁻)
  • Современное применение: используется в синтезе природных соединений, особенно в получении гидрохинонов и других полифенолов из доступных гидроксиароматических альдегидов
  • Стереохимические особенности: реакция сохраняет конфигурацию исходных хиральных субстратов, что важно в синтезе оптически активных соединений
  • Ограничения: выходы могут значительно варьироваться в зависимости от природы заместителей в ароматическом кольце, электронодонорные группы обычно повышают выход целевых продуктов
*Подобраны с помощью LLM, верифицированы, но возможны неточности.