Зелинского - Стадникова реакция
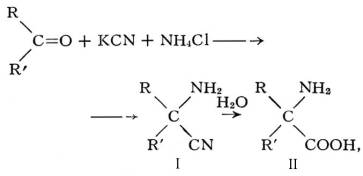
Зелинского — Стадникова реакция, метод синтеза a-аминокислот из альдегидов и кетонов. Например,

где R и R' = H, алифатический, алициклический или ароматический радикал. Реакцию проводят в водных средах при 0—20°С в течение нескольких часов. С выходами 60—90% образуются a-аминонитрилы (I), гидролизуемые далее в a-аминокислоты (II). Зелинского — Стадникова реакция — усовершенствованный метод циангидринного синтеза a-аминокислот, разработанного немецким химиком А. Штреккером (1850). Реакция открыта Н. Д. Зелинским и Г. Стадниковым в 1906.
*Подобраны с помощью LLM, верифицированы, но возможны неточности.
Ещё по теме
Зелинского-Стадникова реакция — синтез α-аминокислот
Назарова реакция — особенности и применение
Дейкина — Уэста реакция — механизм и применение
Зинина реакция — получение ароматических аминов
Дейкина реакция — особенности и применение
Яновская реакция в органической химии
Радзишевского реакция — особенности и применение
Реакции Рашига — методы синтеза гидразина и фенола
Церевитинова метод в органическом анализе
Лабораторный синтез 3-хлоризохинолина N-оксида
Реакция Дёбнера — Миллера — получение замещённых хинолинов
Реакции Штреккера — методы получения органических соединений
Родионова реакция — метод получения β-аминокислот
Реформатская реакция в органическом синтезе
Полоновская реакция — механизм и применение
Дополнения к описанию: