Кинe-замещeние

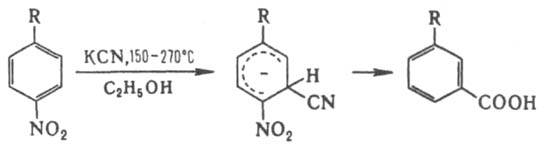
КИНE-ЗАМЕЩEНИЕ, замещение в ароматич. ряду, при к-ром входящая группа вступает в соседнее к уходящей группе положение. К наиб. распространенному случаю кине-замещения относятся р-ции, протекающие с образованием в качестве интермедиатов анионных s-комплексов, напр. в р-ции Рихтера:
361_380-69.jpg
Кине-замещение - одно из направлений в р-циях с участием дегидробензолов (ф-ла I):
361_380-70.jpg
При этом обычно наблюдается образование смеси продуктов Кине-замещения и ипсо-замещения, соотношение к-рых зависит от используемого реагента и заместителя в бензольном кольце. Так, в последней р-ции соотношение продуктов кине-и ипсо-замещения (соотв. мето- и oртo-изомеров) в зависимости от природы R составляют: 85:15 (R = CN), 99:1 (R = F), 95:5 (R = ОСН3), 45:55 (R = СН3), 95:5 [R = N(CH3)2], 15:85 (R = О-), 10:90 (R = NH-), 0:100 (R = Li). Лит.. Эфрос Л.С., Горелик М.В., Химия и технология промежуточных продуктов. Л., 1980, с. 78 82. 343; Общая органическая химия, пер. с англ., т. 1, М., 1981. с. 609; там же, т. 3, М., 1982. с. 436. Д. В. Давыдов.

Комментарии*

Кинe-замещение — тип замещения в ароматических соединениях, при котором входящая группа занимает положение, соседнее с уходящей группой.
Дополнения:

  • Механизм часто протекает через образование анионных σ-комплексов (например, в реакции Рихтера) или через интермедиаты дегидробензолов.
  • Характерно для систем с сильными электроноакцепторными заместителями, облегчающими нуклеофильное замещение.
  • Конкурирует с ипсо-замещением, соотношение продуктов зависит от природы заместителя и реагента.
  • Практическое значение: используется в синтезе замещенных ароматических соединений, включая фармацевтические промежуточные продукты и функционализированные арены.
*Подобраны с помощью LLM, верифицированы, но возможны неточности.